MFP nier en urinewegen - Fysiologie
- Glossary
- Samenvatting
- 1 (H33) Organisatie
- 2 (H34) GRF en RPF
- 3 (H35) Transport van Na+ en Cl-
- 4 (H36) Transport varia
- 5a (H36 + H52) Calcium homeostase - fysiologie
- 5b Calcium homeostase - pathofysiologie
- 6 (H38) Urinaire concentratie en dilutie
- 7a (H40) Water en zoutbalans - fysiologie
- 7b (H40) Water en zoutbalans - pathofysiologie
- 8a (H39) Zuur-base evenwicht - fysiologie
- 8b Zuur-base evenwicht - pathofysiologie
- 9a (H37) Kalium - fysiologie
- 9b Kalium - pathofysiologie
- 10 Ureters en blaas
- 11 Nefrologische pathofysiologie
- Werkzitting 2
- Werkzitting 3
Glossary
- (zie ook cursustekst)
- JGA = juxtaglomerular apparatus
- RBF = renal blood flow
- RPF = renal plasma flow
- In = inuline
- PAH = para-aminohippurate
- FE = fractionele excretie
- Cr = creatinine
- UF = ultrafiltraat
- GC = glomerulaire capillairen
- BS = Bowman's space
- Hct = hematocriet (%)
- FF = filtration fraction
- ADH = antidiuretic hormone = AVP = arginine vasopressin (from posterior pituitary)
- ANP = atrial natriuretic peptide
- NE = norepinephrine
- ENaC = epithalial Na channel
- ECaC = epithalial Ca channel
- NHE3 = Na/H exchanger 3
- NKCC2 = Na/K/Cl cotransporter 2
- ECV = effectief circulerend volume
- ECF = extracellular fluid
- ICF = intracellular fluid
Samenvatting
- fysiologische ranges
- PCO2: 40 mmHg
- Na
- normaal: 135 - 145 mmol/l
- acceptabel: 125 - 160 mmol/l
- Cl: niet kennen
- K: 3.5 - 5.0 mmol/l
- Ca ion: 4.0 - 5.2 mg/dl (andere eenheid!)
- Ca totaal: 8.8 - 10.6 mg/dl
- HCO3-: 24 mmol/l
- osmolaliteit: 275 - 295 mOsm/kg
- schatting: 2 (Na+ + K+) + ureum/6 + glucose/18 (niet kennen?)
- pH
- arterieel: 7.35 - 7.45
- cytosol: 7.2
-
- pK > 9 (ammonium)
- pK = 6.1 (bicarbonaat)
- pK = 5.8 (creatinine)
- pK = 5.0 (urinezuur)
- s = 0.03
- anion gap
- zonder K: ~12
- met K: ~16
- albumine in urine
- normaal < 30 mg/dag
- micro-albuminurie: 30-300
- macro-albuminurie: 300-3000
- nefrotische albuminurie: 3000+
- geen reactievergelijkingen
- verwachte respiratoire compensatie van metabole acidose
- ~= twee decimalen van plasma pH
- verwachte respiratoire compensatie van metabole alkalose
- ~= twee decimalen van plasma pH
- verwachte metabole compensatie van respiratoire acidose
- acuut:
- chronisch:
- verwachte metabole compensatie van respiratoire alkalose
- acuut:
- chronisch:
| tubulus | old name | new name | |
|---|---|---|---|
| proximal | PCT = pars convoluta | S1 | negative |
| proximal | PCT + PST | S2 | positive |
| proximal | PST = pars recta | S3 | positive |
| Henle's | dik dalend | ? | |
| Henle's | dun | tDLH | |
| Henle's | dun | tALH | |
| Henle's | dik stijgend | TAL | |
| distal | early distal | DCT = pars convoluta | negative |
| distal | / | CNT | negative |
| distal | late distal | ICT =? pars recta | |
| CCT | |||
| OMCD | |||
| IMCD |
Filtratie, reabsorptie en secretie
| name | ureum | glucose | AZ | prot | PAH | low/high | ||||
|---|---|---|---|---|---|---|---|---|---|---|
| BS | 100% | 100% | 100% | 100% | << 1% | 100% | 90% | 100% | 100% / 100% | |
| S1 | ||||||||||
| S2 | 20% / 20% | |||||||||
| S3 | 33% | 50% | 2% | 1% | 1% | 600% | 5-20% | 35% | ||
| tDLH | ||||||||||
| tALH | 110% | |||||||||
| TAL | 8% | 10% | 10% / 10% | |||||||
| DCT | 2% | |||||||||
| CNT | ||||||||||
| ICT | 100% | |||||||||
| CCT | 3% | 8% / 30-190% | ||||||||
| OMCD | ||||||||||
| IMCD | 40% | 2% / 10-150% | ||||||||
| urine | 0.4% | 40% | 0% | 0% | 0% | 600% | 5-20% | 1% | 2% / 10-150% |
Waterbalans
Renin-angiotensin-aldosterone system (RAAS)

- globaal effect
- Na+ reabsorptie
- Cl- reabsorptie
- K+ secretie
- NH4+ secretie
- lever: angiotensinogeen
- granulaire cellen (JGA): renine
- functie: angiotensinogeen -> ANG I
- renine stimuli
- bloeddruk-
- signaal via sympatisch zenuwstelsel
- zout- t.h.v. macula densa
- renale perfusiedruk-
- stretch receptoren
- in granulaire cellen (JGA) in aff. arteriolen
- stretch receptoren
- bloeddruk-
- longen: angiotensin converting enzyme (ACE)
- ANG I -> ANG II
- ACE inhibitors (medicatie) kunnen dit stilleggen
- ANG II

- hemodynamisch
- + -> FF+ -> Starling+ -> Na reabsorptie+

- bijnierschors: aldosterone+
- TGF sensitiviteit+
- meer water+zout -> GFR-
- inhibitie renine vrijzetting

- Na reabsorptie+
- NHE3 @ PT, TAL, ICT
- meer zuur excretie
- NKCC2 @ TAL
- NCC @ DCT
- ENaC @ ICT
- NHE3 @ PT, TAL, ICT
- renale hypertrofie
- dorst+ en ADH+
- aldosterone
- soort mineralocorticoide
- netto effect: meer Na reabsorptie distaal
- in principal cells (DCT-CCT)
- stimulatie van
- ENaC
- K kanaal
- Na-K pomp
- mitochondiaal metabolisme
- traag: maakt meer kanalen
- stimulatie van
Sympatisch zenuwstelsel: norepinephrine (NE)
- directe effecten
- hogere arteriele weerstand (aff+eff)
- lagere GFR, RPF
- minder Na+ excretie
- lagere GFR, RPF
- stimulatie NHE3, Na-K pomp in proximale tubulus
- NHE3: meer zuur excretie
- hogere arteriele weerstand (aff+eff)
- indirecte effecten
- stimulatie renine productie
- algemeen
- meer Na reabsorptie
- beperkt effect tenzij levensbedreigende bloeding
Arginin vasopressin (AVP) = antidiuretisch hormoon (ADH)
- aanmaak: hypothamalus
- vrijzetting: posterior pituitary = neurohypofyse
- halfwaardetijd: 18 min
- afbraak in lever en nier
- pathofysiologie: waterretentie bij lever- of nierproblemen
- afbraak in lever en nier
- trigger
- vooral osmolaliteit
- meestal NaCl
- mannitol
- niet: ineffectieve osmolen
- ureum: snel naar intracellulair
- glucose (tenzij diabetes mellitus)
- grote volumecontractie (afname ECV)

- vooral osmolaliteit
- effecten
- vasoconstrictie -> hogere bloeddruk
- systemisch: weinig effect, behalve bij hypovolemische shock
- renaal: minder bloed naar vasa recta
- minder washout van hypertone medulla
- betere passieve Na+ reabsorptie (in tALH)
- TAL: stimulatie NKCC2 + K channels
- ICT: stimulatie ENaC
- CCT: stimulatie ENaC
- collecting tubules: toename waterdoorlaatbaarheid -> reabsorptie H2O -> geconcentreerde urine
- AQ2 vrijzetting uit vesikels -> integratie in apicale membraan
- geen effect op AQ1 (apicaal in proximale tubulus) of AQ3 (basolaterale membraan)
- AQ2 vrijzetting uit vesikels -> integratie in apicale membraan
- ureum reabsorptie in medullaire verzamelbuis
- inbouw ureum transporter (UT) in IMCD
- vasoconstrictie -> hogere bloeddruk
Atrial natriuretic peptide (ANP)

- productie: myocyten in atria
- o.i.v. verhoogde druk in atria
- effect: vasodilatie (i.t.t. vorige drie)
- RPF+/GFR+ -> meer Na+ excretie
- vasa recta: flow+
- washout van osmolariteit in medulla
- minder passieve Na+ reabsorptie @ tALH
- volume expansie -> minder fosfaat reabsorptie
- inhibitie Na+ transport in IMCD, OMCD
- tegenwerken Na retentie
- inhibitie renine vrijzetting
- inhibitie aldosterone vrijzetting
- inhibitie ADH vrijzetting
- TGF: lagere sensitiviteit
Diuretica
- zie ook podcast 4
- steeds via inhibitie Na+ reabsorptie (= natriurese)
| diuretica | tubulus | kanaal | effect | Ca reabs. | K secretie | pH |
|---|---|---|---|---|---|---|
| CA inhibitie | proximaal | NHE3 | beperkt | minder | ||
| lisdiuretica | TAL | NKCC2 | groot | minder | meer | meer (ondervulling) |
| thiaziden | DCT | NCC | beperkt | meer | zelfde | meer (ondervulling) |
| Na-kanaal blockers | distaal | ENaC | beperkt | meer | minder | minder |
| aldosterone antagon. | distaal | ENaC/K/Na-K | beperkt | minder | minder |
Koolzuuranhydrase (CA) inhibitie
- proximale tubulus
- 2/3 water en Na+ opname
- toch beperkt effect
- nog steeds paracellulair transport
- en cotransport met glucose enz.
- weinig gebruikt
- inhibeert NHE3
- minder Na reabsorptie
- diuretisch effect
- via inhibitie koolzuuranhydrase:
- CO2 over apicaal membraan via diffusie
- OH- + H+ (uit NHE3) -> H2O -> over apicaal membraan
- minder protonen nodig want minder OH- productie
- dus minder Na+ uitwisseling (reabsorptie)
- in cel omgekeerd proces
- H2O -> H+ + OH-
- OH- + CO2 -> HCO3-
- minder Na reabsorptie
- inhibeert indirect dus ook HCO3- reabsorptie
- dus minder zuur excretie
- dus meer acidose
- dus minder zuur excretie
Lisdiuretica
- inhibitie NKCC2
- zelfde effect als syndroom Bartter
- minder Na reabsorptie
- zakt -> minder Ca reabsorptie
- groot effect
- 25% Na+ en wateropname
- blokkeert indirect ook paracellulaire Na+ en Ca2+ reabsorptie
- drijfveer: positief lumen
- lumen minder positief na blokkering NKCC2
- vaak gebruikt
- o.a. furosemide (= Lasix)
- meer water dan Na
- risico op hyper-osmolaire dehydratatie
- meer K secretie
Thiaziden
- in DCT
- inhibitie NCC
- zelfde effect als syndroom Gittelman
- minder Na reabsorptie
- meer Ca reabsorptie
- niersteen preventie
- opletten voor hypercalcemia
- beperkt effect
- 5% opname
- weinig gebruikt
- wel goed voor hypertensie behandeling
- eventueel te combineren met lisdiuretica (o.a. bij hartfalen)
- side-effect: meer Ca2+ reabsorptie
- preventie nierstenen
- door lager (meer negatief) membraan potentiaal
- geen effect op K secretie
- risico op hypo-osmolaire dehydratie
Natriumkanaal blockers
- in corticale verzamelbuizen
- inhibitie ENaC
- meer Ca reabsorptie
- in principal cell
- invloed op K+ secretie (zie later)
- ook beinvloed door aldosterone
- beperkt effect
- (voorbeeld: amiloride)
Aldosterone antagonisten
- normaal: aldosterone -> meer distale Na reabsorptie
- meer ENaC
- meer K+ kanalen
- meer ATP
- stimulatie Na/K pomp
- beperkt effect
Osmotische diuretica
- ?
Pathofysiologie
- hypocalcemia
- verhoogde neuromusculaire excitabiliteit
- teken van Chvostek + van Trousseau

- hypercalcemia
- verlaagde neuromusculaire excitabiliteit
- ECG: kort QT

- zout-water
- overvulling
- ...
- ondervulling = dehydratatie
- ...
- hyponatremie
- iso-osmolair: pseudo-hyponatremie (93%/7%)
- hyper-osmolair: translocatie hyponatremie (glucose, ...)
- hypo-osmolair
- stap 2: meet urinaire osmolaliteit ("doen de nieren hun werk?")
- UOsm < 100 mOsm/kg ("ja"): primaire polydipsie of bierdrinkers potomanie
- UOsm > 100 mOsm/kg ("nee")
- stap 3: meet urinair Na
- urinaire Na <= 30 mmol/l (normaal)
- stap 4: schat vulling ECF
- hypervolemie / oedeem (zie boven)
- ECV daalt
- hartdecompensatie
- levercirrose
- nefrotisch syndroom
- hypovolemie (zie boven)
- ECV daalt (zoals bij hypervolemie)
- hyperosmotische dehydratatie + hypotone substitutie
- isoosmotische dehydratatie + hypotone substitutie
- hypovolemische shock
- hypervolemie / oedeem (zie boven)
- stap 4: schat vulling ECF
- urinaire Na > 30 mmol/l (verdacht veel)
- stap 4: diuretica of nierinsufficientie?
- ja
- nee
- stap 5: schat vulling
- hypovolemie
- cf. hypo-osmolair dehydratatie (primair Na+ verlies)
- renal salt wasting (Na reabsorptie faalt)
- ziekte van Addison
- cf. hypo-osmolair dehydratatie (primair Na+ verlies)
- euvolemie
- ADH secretie zonder osmotische stimulus
- voorbeelden
- glucocorticoiden tekort (Addison)
- hypothyroidie
- uitsluitingsdiagnose: syndrome of inappropriate ADH (SIADH)
- hypovolemie
- stap 5: schat vulling
- stap 4: diuretica of nierinsufficientie?
- urinaire Na <= 30 mmol/l (normaal)
- stap 3: meet urinair Na
- stap 2: meet urinaire osmolaliteit ("doen de nieren hun werk?")
- hypernatremie
- altijd hyper-osmolair
- ...
- overvulling
- zuur-base
- metabole acidose
- high anion gap (!= 12)
- KUSSMALE
- non anion gap (~= 12)
- urine pH > 6: RTA type 1
- urine pH < 6
- urine anion gap > -10: RTA type 2
- urine anion gap < -20: GI
- high anion gap (!= 12)
- metabole alkalose
- inname alkali
- ja
- nee
- ECV contract: GI, renaal
- ECV expansie: mineralocorticoiden+
- inname alkali
- respiratoire acidose
- centraal vs geleiding vs perifeer
- respiratoire alkalose
- centraal vs perifeer vs iatrogeen
- metabole acidose
- hypokaliemie
- ...
- hyperpolarisatie -> minder exciteerbaar -> spierzwakte
- ECG: ST daling, afgeplatte/inverse T, extra U golf
- behandeling: K supplement (oraal of IV)
- hyperkaliemie
- ...
- depolarisatie -> meer exciteerbaar -> spierzwakte
- ECG: spitse T top, QRS langer, P top weg
- behandeling
- eerst IV Ca om ECG te normaliseren indien nodig
- shift extra->intra met glucose+insuline of met NaHCO3
1 (H33) Organisatie
- herhaling: Fick
-
- : [mol/s]
- flow : [l/s]
- concentration : [mol/l]
-
-
- wet van behoud van massa
- : concentration of X in (arterial/venous) plasma [mmol/ml] of [mg/ml]
- = renal (arterial/venous) plasma flow [ml/min]
- : concentration of X in urine [mmol/ml] of [mg/ml]
- : change in (urine) volume [ml/min]
-
clearance/klaring van stof X
- [ml/min]
- assumptie:
- dus 100% wordt gesecreteerd
- onrealistisch / virtueel
- "virtual volume of plasma that would be totally cleared of solute X"
- realiteit: veel groter volume wordt deels geklaard van X
- uitzondering: para-aminohippurate (PAH)
- eigenschappen
- vrij gefilterd
- geen reabsorptie, totale secretie
- geen synthese of afbraak in nier
- toepassing: bepaling

- eigenschappen
- GFR = glomerular filtration rate [ml/min]
- assumpties
- 100% vrij gefilterd
- dus bv. geen grote, negatief geladen eiwitten
- geen reabsorptie of secretie
- geen synthese of afbraak in nier
- 100% vrij gefilterd
- voorbeeld: inuline (In)
- exogeen: toediening via IV

- assumpties
-
[mg/min]
- excreted
- filtered
- reabsorbed
- secreted
-
fractionele excretie
- maat voor reabsorptie en secretie
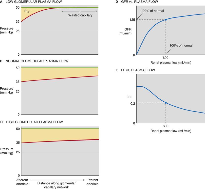
2 (H34) GRF en RPF
- creatinine (Cr)
- endogeen alternatief voor inuline
- gemiddelde man: 20-25 mg/kg BW
- gemiddelde vrouw: 15-20 mg/kg BW
- niet geschikt voor extreem gespierde of extreem magere patienten
-
- GFR en houden elkaar in balans

- endogeen alternatief voor inuline
| Stof | Filtratie | Reabsorptie | Secretie | Synthese/afbraak | Opmerking |
|---|---|---|---|---|---|
| inuline | 100% vrij | nee | nee | nee | |
| creatinine | 100% vrij | nee | ja (!) | nee | (20% overestimation) |
| PAH | vrij | nee | ja, 100% | nee |
- herhaling: bestanddelen bloed
- plasma
- 93%
- H2O
- electrolyten: Na+, K+, Cl-, HCO3-
- 7%
- eiwitten
- albumine (negatief geladen)
- ...
- lipiden
- eiwitten
- 93%
- erythrocyten (RBC)
- leukocyten (WBC)
- thrombocyten
- plasma
- glomerulaire filtratie
- vier lagen
- glycocalyx
- negatief geladen
- endotheel
- basaal membraan
- negatief geladen
- podocyten
- belangrijkste
- negatief geladen
- glycocalyx
- permeabiliteit

- kleine > grote deeltjes
- lichte > zware deeltjes (moleculair gewicht in Da)
- positieve > neutrale > negatieve deeltjes
- doorgelaten
- H2O
- Na, K, Cl, Ca
- ureum
- glucose, sucrose
- inuline (In)
- tegengehouden
- erythrocyten (RBC)
- hemoglobine (Hb)
- leukocyten (WBC)
- thrombocyten
- albumine
- erythrocyten (RBC)
- pathologie: verlies negatieve lading -> albuminuria -> oedema
- vier lagen
- Starling forces


-
- ultrafiltratie coefficient
- RPF vs GRF (vs )
- twee weerstanden
- afferente arteriool
- efferente arteriool
- uniek in lichaam
- is volledig regelbaar
- cf. voltage divider

- FF = filtration fraction
- normaal: 15-20%

- twee weerstanden
- autoregulatie
- myogeen
- stretch van vaatwand -> vasoconstrictie
- TGF = tubuloglomerular feedback
- zie podcast 1
- a.g.v. verhoogde flow en NaCl concentratie t.h.v. macula densa
- vasoconstrictie van afferente arteriolen
- daling Starling forces
- door daling hydrostatische druk
- en door stijging oncotische druk
- resultaat: GFR daalt
- daling Starling forces
- sensitivity
- myogeen
- high protein diet
- lowers TGF sensitivity
- increases GFR, RPF
- regulatie van effectief circulerend volume (ECV)

- vier belangrijkste factoren
- zie samenvatting waterbalans
- andere
- adrenaline
- dopamine
- prostaglandines
- NO
- ...
3 (H35) Transport van Na+ en Cl-
(H5) Background

- Nernst
-
: membrane potential
-
- apicaal:
- basolateraal:
- trans-epitheel:
- negatief: cel negatiever aan binnenkant dan buitenkant
-
-
: valence
- equilibrium potential [mV]
- net electrochemical driving force
- negative: + in, - out
- Na+, Ca2+, H+ in
- Cl- out
- positive: + out, - in
- K+ out
- negative: + in, - out
-
: membrane potential
- Na-K pump
- "Beyonce"
- "once you know about it, you see it everywhere"
- responsible for low
-
- electrogenic
- primary active reabsorption (ATP-driven)
- always basolateral
- accompanied by K+ channel to let it leak back
- "Beyonce"

- from proximal to distal
- tighter / less leaky junctions
- water: ICF (60%) > ECF (40%)
Na+ reabsorption


- 100% -> 0.4%
- proximal tubule: 67%
- iso-osmotisch: ook 67% water mee
- Henle (specifiek TAL): 25%
- hypertoon: hogere concentratie Na+ in plasma dan in urine
- distaal: fine tuning
- DCT+CNT+ICT+CCT: 5%
- OMCD+IMCD: 3%
- proximal tubule: 67%
- diluting segment = TAL + DCT
- cross-epithelial transport from lumen to interstitium
- transcellular
- apical
- prof: always passive reabsorption
- book: secundary/tertiary active
- basolateral
- primary active
- apical
- paracellular
- passive reabsorption
- backleak = passive secretion
- transcellular
- electrochemical gradient
- E: electrical
- C: chemical
- EC: both
- Pendrin:
- diuretica: zie samenvatting
- proximal tubulus
- transcellular
- apical
- secundary active / "passive"
- due to low
- NHE3 (electroneutral: + vs +)
- cotransport
- glucose
- amino acids
- phosphate
- sulfate
- lactate
- citrate
- due to : -3 mV -> -70 mV
- cotransport (electrogenic)
- due to low
- secundary active / "passive"
- basolateral
- Na-K pump (actief): -70 mV -> 0 mV (met interstitium als referentiepunt)
- (NBCe1 = Na/HCO3- cotransporter 1)
- apical
- paracellular
- passive backleak due to negative : 0 mV -> -3 mV
- transcellular
- TAL
- lumen-positive
- lumen-positive


| name | transcellular (apical) | transcellular (bl) | paracellular |
|---|---|---|---|
| S1 | cotransport (E?C)/NHE3 (C) | Na-K/NBCe1 | backleak (E) |
| S2 | N/A | N/A | |
| S3 | N/A | N/A | |
| tDLH | N/A | N/A | weinig |
| tALH | N/A | N/A | weinig |
| TAL | NKCC2 (C)/NHE3 (C) (50%) | Na-K, Cl- channels | yes (E) (50%) |
| DCT | NCC | Na-K, Cl- channels | N/A |
| CNT | ENaC @ principal cell | Na-K | N/A |
| ICT | ENaC @ principal cell | Na-K | N/A |
| CCT | ENaC @ principal cell | Na-K | N/A |
| OMCD | ENaC @ principal cell | Na-K | N/A |
| IMCD | ENaC @ principal cell | Na-K | N/A |
Cl- reabsorption

| name | transcellular (apical) | transcellular (bl) | paracellular |
|---|---|---|---|
| S1 | N/A | N/A | yes (E + drag) |
| S2 | yes (C) | ||
| S3 | Cl/anion exchanger/NHE3 | Na-K/Cl- channels/KCC | (yes) (C) |
| tDLH | |||
| tALH | |||
| TAL | NKCC2 | Na-K, Cl- channels | N/A |
| DCT | NCC | Na-K, Cl- channels | N/A |
| CNT | |||
| ICT | Pendrin @ -intercalated | Cl- channels | yes (E) |
| CCT | Pendrin @ -intercalated | Cl- channels | yes (E) |
| OMCD | |||
| IMCD |
Water
- altijd passief
- proximale tubulus
- zeer doorlaatbaar
- iso-osmotisch
- volgt Na+
- TAL + DCT
- weinig doorlaatbaar
- dus water blijft in urine
- = diluting segment
- weinig doorlaatbaar
| name | transcellular (apical) | transcellular (bl) | paracellular |
|---|---|---|---|
| S1 | AQ1 | AQ1 | yes |
| S2 | AQ1 | AQ1 | yes |
| S3 | AQ1 | AQ1 | yes |
| tDLH | wel | ||
| tALH | niet | ||
| TAL | N/A | N/A | N/A |
| DCT | N/A | N/A | N/A |
| CNT | |||
| ICT | i.f.v. ADH (AQ2) | AQ3 | ? |
| CCT | i.f.v. ADH (AQ2) | AQ3 | ? |
| OMCD | i.f.v. ADH (AQ2) | AQ3 | ? |
| IMCD | i.f.v. ADH (AQ2) | AQ3 | ? |
Controle van Na+ en Cl- transport
- glomerulotubulaire balans (!= TGF)
- proximale tubulus
- reabsorbeert constant fractie Na+

- peritubulaire factoren
- FF+ = GFR+/RPF= -> Starling forces+ -> meer reabsorptie in bloedbaan en minder backleak

- luminele factoren
- glucose concentratie+ -> Na+ cotransport+
- central cilium: senses increased flow
- reabsorbeert constant fractie Na+
- geldt niet voor distale tubulus
- eindresultaat geen constante fractie
- proximale tubulus
- Na+ reabsorptie bevorderen
- RAAS
- sympatisch zenuwstelsel: norepinephrine
- ADH
- natriurese bevorderen
- ANP
- andere
- Na-K ATPase inhibitor
- prostaglandines
- bradykinines
- dopamine
- meer plasma Ca2+
- samenvatting proximale tubulus

- TF = tubulus fluid concentratie
- P = plasma concentratie
- Na+ volgt iso-osmotisch
- doet plasma volume toenemen
- inuline (In): geen reabsorptie of secretie
- dus TF constant
- maar stijgt door dalende P door water reabsorptie
- Cl-: trage absorptie in S1 (para), daarna sneller (trans) zoals Na+
- HCO3-: spiegelbeeld Cl-
- glucose + AA: heel snel opgenomen (TF daalt)
- zie volgende hoofdstuk
4 (H36) Transport varia
Ureum

- ureum = urea (Engels) =
- context: aminozuur metabolisme
- productie in lever uit ammonium ()
- excretie via
- urine
- stoelgang
- zweet
- UT = urea transporter
- vrij gefilterd (want klein)?
- proximale tubulus
- tDLH (meest distale deel)
- tALH
- IMCD
- ADH: stimuleert UT-A1 en UT-A3

- via gefaciliteerde diffusie
- heel afhankelijk van urinaire flow
- lage flow -> te weinig excretie
- cf. creatinine: onafhankelijk
- heel afhankelijk van urinaire flow
Glucose

- vrij gefilterd
- doel: volledige reabsorptie
- regeling via pancreas (insuline), niet via nieren
- actief, transcellulair
- 98% in proximale tubulus
- transporters
- SGLT2 @ S1
- secundair actief transport
- high capacity: moet vooral snel werken
- = Sodium (Na)-glucose cotransporter
- 1 glucose + 1 Na
- diabetes behandeling: SGLT2 inhibitor
- GLUT2 @ S1
- = gefaciliteerde diffusie (hoge concentratie in cytoplasma)
- SGLT1 @ S3
- low capacity: lagere glucose concentratie
- moet tegen hogere gradient werken
- hogere affiniteit
- 1 glucose + 2 Na
- GLUT1 @ S3
- SGLT2 @ S1

- verzadigbaar (transport maximum )
-
- cf. diffusie: lineair verband
- "splay" = bocht
- geleidelijke overgang
- door averaging over veel nefronen
- excreted = filtered - reabsorped
- lineair in fysiologische range
- enkel problematisch bij diabetes
- glucosurie
- enkel problematisch bij diabetes
-
-
clearance/klaring van stof X [ml/min]
- lage
- heel hoge : horizontale asymptoot (zoals )
- opgenomen deel verwaarloosbaar
Aminozuren, oligopeptiden en proteines

- vrij gefilterd
- proximale tubulus: 99%
- vooral secundair actief, transcellulair
- Na-AA cotransporter
- AA channel
- details niet belangrijk
- oorzaken van hyperaminacidurie
- prerenal hyperaminaciduria (verzadiging)
- competition
- competitieve inhibitie tussen gelijkaardige AA
- schijnbare competitie tussen AA en glucose, ...
- afhankelijk van zelfde Na gradient
- renal aminaciduria
- probleem met (transporters in) nieren zelf
- generalized proximal tubule dysfunction

- vrij gefilterd
- gelijkaardig aan AA
- afbraak: oligopeptiden -> AA
- ofwel door peptidasen in tubulus
- in brush border van apicaal membraan
- ofwel door peptidasen in cytosol van tubuluscel
- opname via H/oligopeptide cotransporters
- lengte: 2-5
- PepT1
- PepT2
- opname via H/oligopeptide cotransporters
- ofwel door peptidasen in tubulus

- NIET vrij gefilterd
- albumine: sieving coefficient < 0.01
- proximale tubulus: 99%
- receptor-mediated endocytose
- clathrin coated pit
- afbraak door lysosomen
Organic anions
- endogeen
- oxalaat
- galzouten
- exogeen
- PAH <--
- 500% extra secretie
- apicaal: anion / PAH- exchanger
- anion: Cl-, OH-, urinezuur, ...
- basolateraal: OAT1, OAT3
- tertiair actief transport
- penicilline
- furosemide
- PAH <--
- NIET vrij gefilterd
- negatieve lading
- eiwitbinding


Fosfaat


- drie vormen
- 50% geioniseerd
- 40% met kleine moleculen
- 10% met eiwitten
- NIET vrij filtreerbaar
- 50% geioniseerd
- secundair actief transport (NaPi cotransporter)

- satureerbaar
- al bij normaal-hoge concentraties
- lager pH (zuurder)
- meer vrije H+
- dus meer t.o.v.
- minder vlotte reabsorptie
- voordeel: fosfaat als buffer in urine
- controle
- snel
- PTH: reabsorptie-
- dopamine: reabsorptie-
- ANP: reabsorptie-
- o.a. door volume expansie
- traag (via synthese NaPi)
- dieet: fosfaat intake (-)
- vit D: (+)
- glucocorticoiden (-)
- acidose (-)
- fibroblast growth factor 23 (FGF23)
- door osteocyten bij te veel fosfaat
- afname expressie NaPi
- minder vitamine D activatie
- minder fosfaat opname in darmen
- snel
5a (H36 + H52) Calcium homeostase - fysiologie
- functie
- spiercontractie
- zenuwgeleiding
- exocytose
- hormoonsecretie
- (in)activatie van enzymes
- intracellulaire messenger
- homeostase
- o.b.v. geioniseerd Ca2+
- range
- ion: 4.0 - 5.2 mg/dl (kennen?)
- 45% gebonden aan eiwitten (o.a. albumine)
- niet vrij filtreerbaar
- 45% vrij
- 10% gebonden aan anionen (fosfaat: ?, ...)
- 45% gebonden aan eiwitten (o.a. albumine)
- totaal: 8.8 - 10.6 mg/dl
- ion: 4.0 - 5.2 mg/dl (kennen?)
- link met fosfaat
Calcium in darm

- intake: 1g/dag (melk en groenten)
- bruto opname: 500mg/dag
- secretie: 325mg/dag
- netto opname: 175 mg/dag

- transcellulair
- enkel in duodenum
- apicaal: TRPV6 = ECaC2 (passief kanaal)
- cytosol: binding aan calbindin
- basolateraal: NaCa (3:1) exchanger (NCX)
- geen ATP
- paracellulair
- in hele dunne darm (incl. duodenum?)
- actief vitamine D -> meer Ca (en fosfaat) opname
Calcium in bot


- botten bevatten 1kg calcium
- cellen
- osteoblasten
- aanmaak
- osteoclasten
- resorptie (secretie protonen)
- multinucleair
- gevormd uit meerdere pre-osteoclasten
- o.i.v. vitamine D en PTH
- gevormd uit meerdere pre-osteoclasten
- osteocyten
- uit osteoblasten
- vast in matrix = osteoid
- 90% collageen type I
- osteocalcin
- osteonectin
- functie: stimulatie/inhibitie osteoblasten
- osteoblasten
Calcium in nier

- opname van 175mg/dag opnieuw excreteren
- 99% reabsorptie
- verhoudingen gelijkaardig aan Na
- 65% in proximale tubulus
- passief (CE), paracellulair
- drag: veel wateropname door Na transport
- diffusie
- C: veel wateropname, dus hoge concentratie Ca2+ in tubulus
- E: positief in S2 en S3
- geen regulatie
- passief (CE), paracellulair
- 25% in TAL
- passief (E), paracellulair
- regulatie
- ADH
- TODO effect?
- calcium sensing receptor (CaSR)
- meet plasma concentratie
- te hoog -> inhibitie NKCC2 -> zakt -> minder Ca reabsorptie
- lisdiuretica
- inhibitie NKCC2
- zelfde effect als CaSR
- ADH
- 8% in DCT
- transcellulair
- apicaal: passief (CE)
- intracellulaire concentraties worden laag gehouden
- calbindin
- opname in organellen
- TRPV5 = ECaC1
- TRPV6 = ECaC2
- intracellulaire concentraties worden laag gehouden
- basolateraal: actief
- primair: Ca2+ ATPase (2 H <-> Ca)
- secundair: NCX1 (3 Na <-> Ca)
- enkel bij hoge intracellulaire concentraties
- apicaal: passief (CE)
- regulatie
- PTH -> Ca reabsorptie+
- vitamine D -> Ca reabsorptie+
- transcellulair
Regulatie
- samenvatting
- PTH
- meer Ca reabsorptie
- minder fosfaat reabsorptie
- vitamine D
- meer Ca reabsorptie
- meer fosfaat reabsorptie
- PTH
Parathyroid hormoon = parathormoon (PTH)
- productie: 4 kleine klieren rond thyroid=schildklier
- hoofdcellen
- eiwit van 84 AZ
- halflife: 4min
- PTH 1 receptor
- functie
- in DCT
- Ca2+ reabsorptie+
- meer ECaC1
- meer calbindin
- meer NCX1
- Ca2+ reabsorptie+
- in proximale tubulus
- fosfaat reabsorptie-
- internalisatie Na/fosfaat cotransporter
- hydroxylatie/activering: 25-OH vitamine D -> 1,25-(OH)2 vitamine D
- fosfaat reabsorptie-
- in bot
- KT stijging PTH -> botaanmaak
- LT stijging PTH -> botresorptie
- in DCT
- regulatie PTH
- vitamine D -> PTH-
- hoog Ca (sensor: CaSR in hoofdcel) -> PTH- (negatieve feedbackloop)
Vitamine D
- vetoplosbaar
- GI opname m.b.v. galzouten
- moeilijk transport in bloedbaan -> via chylomicronen of eiwitten
- functie
- dunne darm
- CA opname+
- fosfaat opname+
- nier
- fosfaat reabsorptie+ (cf. PTH)
- Ca2+ reabsorptie+ in DCT
- meer ECaC1
- meer calbindin
- NIET: meer NCX1
- minder sterk effect dan PTH
- bot
- indirect: meer Ca beschikbaar
- direct: meer turnover (stimulatie osteoblasten + osteaclasten)
- dunne darm
- drie vormen
- vitamine D
-
- aanmaak door hydroxylatie in lever
- beperkt actief door heel hoge concentratie
-
- aanmaak door hydroxylatie in nier > proximale tubulus
- stimulatie door PTH
- inhibitie door eindproduct en fibroblast growth factor 23 (FGF23)
- actieve vorm
- aanmaak door hydroxylatie in nier > proximale tubulus
5b Calcium homeostase - pathofysiologie
- normale range (totaal): 8.8 - 10.6 mg/dl
- hypocalcemia
- symptomen
- acuut
- verhoogde neuromusculaire excitabiliteit
- Trousseau sign (vingers bij aanbrengen bloeddrukmeter)
- Chvostek sign (gezichtsspieren)
- verhoogde neuromusculaire excitabiliteit
- chronisch
- afwijking aan tanden en botten
- acuut
- oorzaak

- hypoparathyroidie: te weinig PTH
- pseudo-hypoparathyroidie: PTH ongevoeligheid
- onvoldoende opname
- vitamine D tekort
- galzout tekort
- bariatrische heelkunde
- vitamine D tekort
- chronische nierinsufficientie
- te weinig actieve vitamine D
- dus ook minder rem op PTH productie = secundaire hyperparathyroidie
- te weinig actieve vitamine D
- symptomen
- hypercalcemia
- symptomen
- afname neuromusculaire excitabiliteit
- GI: anorexia, nausea, braken, constipatie
- hart: QT kort, brady, aritmie
- polyurie, dorst
- psychisch
- oorzaken
- behandeling
- acuut
- Ca excretie+
- hydratatie
- lisdiuretica
- Ca excretie+
- oorzakelijk
- parathyroidectomie
- bestraling voor metastases
- acuut
- symptomen
6 (H38) Urinaire concentratie en dilutie
- water: in = uit
- in: 2500 ml
- vloeistof
- voeding
- metabolisme
- uit: 2500 ml
- urine: 1.5l
- enige regelbare
- zweet
- ademhaling
- stoelgang
- amper (tenzij diarree)
- urine: 1.5l
- in: 2500 ml
- normaal dieet: 600 mOsm / dag
- 7x dilutie: 300 -> 40 mOsm/l
- door actief transport van zouten over waterondoorlatebare segmenten
- 4x concentratie: 300 -> 1200 mOsm/l
- m.b.v. hyperosmotische medulla
- passieve reabsorptie van water
- vooral in OMCD+IMCD (o.i.v. ADH)
-
- osmolar clearance
- iso-osmotische verwijdering
- vrij water klaring (virtueel)
- extra debiet nodig om urinair volume te bekomen
- negatief bij geconcentreerde urine
- nul bij iso-osmotische urine
- positief bij gediluteerde urine
- osmolar clearance
- 280 l/dag in ruimte Bowman

- zie podcast 3
- rood: hoog ADH
- blauw: laag ADH
- proximaal
- cf.
- 67% opname Na+ en water
- iso-osmotisch: TF = P
- merk op: apicale membraan heeft ook aquaporines (AQ1)
- niet gevoelig voor ADH
- cf.
- descending limb
- wel waterdoorlaatbaar
- niet voor opgelost stoffen
- geen Na+ of ureum reabsorptie
- opbouw osmolariteit -> hypertone medulla
- ascending limb
- niet waterdoorlaatbaar
- wel voor opgeloste stoffen
- reabsorptie Na+
- tALH: passief volgens Na gradient
- TAL: actief via NKCC2: "single effect"
- stimulatie door ADH -> meer osmolariteit -> hogere piek
- secretie ureum
- stimulatie door ADH? -> meer osmolariteit -> hogere piek
- verantwoordelijke voor 50% osmolariteit
- stimulatie door ADH? -> meer osmolariteit -> hogere piek
- reabsorptie Na+
- ADH vertraagt flow in vasa recta -> minder washout van osmolariteit
- diluting segment: TF < P op einde
- distale delen
- nog wel Na+ reabsorptie
- standaard geen water reabsorptie (tight junctions, niet meer leaky)
- dus TF/P daalt lichtjes verder
- veel water gedronken -> laag ADH ("standaard")
- doel: water excretie -> gedilueerde urine
- hoog ADH
- doel: water retentie -> geconcentreerde urine
- hoe
- meer aquaporines (AQ2) in apicaal membraan uit vesicles
- al aanwezig in basolaterale membraan (AQ3)
- vooral in OMCD, IMCD
- gevolg
- TF/P gaat naar 1 in (iso-osmotische) corticale delen
- TF/P hoog in hypertone medulla door veel water reabsorptie (passief, transcellulair)
- ureum recycling
- reabsorptie in OMCD, IMCD
- meer aquaporines (AQ2) in apicaal membraan uit vesicles

- waterdoorlaatbaarheid
- proximaal: ja
- midden: nee
- distaal: i.f.v. ADH

- corticomedullaire osmolaliteitsgradient
- cortex: 300 mOsm
- hyperosmotische medulla: 500 (bij diurese) - 1200 (bij anti-diurese) mOsm
- o.b.v.
- Na: 300 mOsm
- Cl: 300 mOsm
- ureum: 600 mOsm (bij anti-diurese)
- single effect: 200 mOsm
- in TAL
- actief: NKCC2
- reabsorptie van Na (en K en Cl) zonder water
- passief (E): paracellulaire reabsorptie Na
- countercurrent multiplier
- tegenstroom in lus
- verschillen in doorlaatbaarheid
- descending: wel water, geen zout
- ascending: geen water, wel zout
- tALH
- passieve Na reabsorptie (CE)


- ureum
- outer medulla: stijgt door water reabsorptie
- inner medulla: stijgt door ureum reabsorptie

- ureum recycling
- secretie in tALH + bocht
- reabsorptie in TAL-IMCD (85%)
- TAL-OMCD: lage permeabiliteit voor ureum
- IMCD: hoge permeabiliteit voor ureum
- gefaciliteerde diffusie

- vasa recta
- uit juxtaglomerulaire nefronen (10%)
- dus lage bloedvoorziening (5-10% van RPF)
- geen washout
- passief transport
- ook haarpin vorm
- countercurrent exchange
- pijlen van water- en zouttransport keren halverwege om
- doel: verlies beperken

- OMCD
- ondoorlaatbaar voor ureum
- ADH: meer apicale aquaporines
- meer water reabsorptie (passief)
- ICMD
- doorlaatbaar voor ureum -> reabsorptie
- via gefaciliteerde diffusie
- resultaat: hyperosmolaire inner medulla
- ADH: meer apicale aquaporines
- doorlaatbaar voor ureum -> reabsorptie

- AVP = ADH
- productie: hypothalamus
- vrijzetting: neurohypofyse
- effect (herhaling)
- water reabsorptie (via Na en ureum)
- TAL: stimulatie NKCC2
- ICT: stimulatie ENaC
- CCT: stimulatie ENaC
- IMCD: stimulatie ureum reabsorptie
- reductie flow in vasa recta (minder washout)
- verhogen waterpermeabiliteit
- ICT - IMCD
- inbouw aquaporines (AQ2) in apicale membraan
- vasoconstrictie
- water reabsorptie (via Na en ureum)
- regulatie: ADH stijgt bij ...
- laag circulerend volume (te weinig water)
- hoge plasma osmolariteit (te veel osmolen of dus te weinig water)
- normaal: 275 - 295 mOsm/kg
7a (H40) Water en zoutbalans - fysiologie

Waterbalans

- ECF volume via Na+
- overvuld -> niet minder drinken maar wel minder zout eten
- Westen: 8-12g zout/dag
- zoutarm dieet: < 6g/dag
- o.b.v. effectief circulerend volume (ECV)
- assumptie: ECF volume ~ ECV
- niet altijd geldig in pathofyiologische omstandigheden
- assumptie: ECF volume ~ ECV
- sensoren
- hoge druk
- carotis
- arcus aorta
- aff. arteriolen (JGA)
- lage druk (!)
- atria (!= de myocyten die ANP maken)
- pulmonale vaten
- hoge druk
- effector
- KT: hart, bloedvaten -> bloeddruk
- LT: nieren -> Na+ excretie
- efferent (details: zie samenvatting)
- RAAS
- sympaticus
- ADH
- ANP
Zoutbalans (osmalaliteit)

- osmolaliteit via water
- te veel zout -> niet minder zout eten maar wel meer water drinken
- sensoren: hypothalamus
- efferent: ADH, dorst
- effector
- nieren: water excretie
- hersenen: water intake
- ADH: zie hierboven
7b (H40) Water en zoutbalans - pathofysiologie
- herhaling
- homeostase
- drie onderdelen
- set point
- sensor
- effector
- pathologie
- stoornis set point
- stoornis sensor
- stoornis effector
- overschrijding regelbereik
- drie onderdelen
- lichaam: gemiddeld 60% water
- 70kg -> 42l water
- 60% intracellulair (25l)
- 40% extracellulair (17l)
- 31% interstitieel (13l)
- 7% bloed plasma (3l)
- 93% plasmawater
- 7% lipiden, proteinen
- albumine
- 2% transcellulair (1l)
- meer vet = minder water
- 70kg -> 42l water
- osmolaLiteit (mOsm/kg) vs osmolaRiteit (mOsm/l)

- ECF: veel Na+, Cl-, HCO3-
- ICF: veel K+, proteinen (oncotisch != osmotisch)
- effectieve osmolaliteit = toniciteit
- kunnen zelf niet door wand
- doen water bewegen
- Na+, mannitol
- ineffective osmolaliteit
- kunnen zelf wel door wand
- weinig invloed op water (onder fysiologische omstandigheden)
- voorbeelden
- ureum
- bij dialyse: ureum traag verwijderen, anders risico op hersenoedeem
- ethanol
- glucose
- ureum
- normaal: 275 - 295 mOsm/kg (kennen!)
- handboek: 300 (om gemakkelijk te rekenen)
- schatting (formules niet te kennen?)
- 2 (Na+)
- 2 (Na+) + ureum/6 + glucose/18
- 2 (Na+ + K+) + ureum/6 + glucose/18
- gap = meting - schatting
- te verklaren door ongewone osmolen (ethanol, mannitol, ...)
- lichaamsvochten

- hypo osmostisch (meer water)
- zweet, speeksel
- veel verlies -> achtergebleven vocht hyperosmotisch
- water en Na+ balans
- zie les 7a
- veel andere factoren die ADH beinvloeden behalve plasma volume en osmolaliteit
- aldosterone escape
- normaal: aldosterone+ -> ENaC+ -> reabsorption+
- chronisch verhoogd: toch terug normale Na+ reabsorptie (door volume expansie?)
- zou anders oedeem geven
- homeostase
Pathologie
Overvulling
- oedeem
- te veel interstitieel vocht
- minstens 30% toename (3l) vooraleer zichtbaar
- anasarca = gegeneraliseerd oedeem
- ascites = buikvocht
- twee oorzaken
- Starling evenwichtsstoornis
- te hoge permeabiliteit capillaire wand
- veneuze druk +
- veneuze obstructie
- veneuze insufficientie (spataders)
- levercirrose
- portale hypertensie
- ascites
- daling ECV -> Na+ retentie
- hypo-albuminemie
- langere halfwaardetijd aldosterone (door verminderde leverwerking)
- portale hypertensie
- stijging ECF (door Na+ retentie)
- hart decompensatie (nog geen hartfalen)
- ECV daalt
- compensatie: Na+ retentie via RAAS
- zinloos want volume is niet echt probleem
- geen aldosterone escape
- hogere drukken
- minder lymfedrainage
- chronische atriale dilatatie
- ANP minder efficient
- compensatie: Na+ retentie via RAAS
- ECV daalt
- nierinsufficientie (GFR -)
- daling maximale Na+ en water excretie
- renine+ -> Na+ retentie
- corticoiden/cortisol
- zoethout = drop (licorice) -> teveel mineralocorticoiden
- zwangerschap, premenstrueel
- te veel water drinken + anurie/oligurie (bij dialyse)
- levercirrose
- hart decompensatie (nog geen hartfalen)
- oncotische druk
- verlaging plasma oncotische druk
- hypo-albuminemie
- verhoging interstitieel oncotische druk
- brandwonden, toxines, histamine
- verlaging plasma oncotische druk
- lymfedrainage -
- retentie van water en zout in nieren
- Starling evenwichtsstoornis
- symptomen
- gewichtstoename
- pitting oedeem
- ambulant: malleolair
- bedlegerig: presacraal (rond heup)
- longoedeem -> crepitaties
- transcellulair vocht: ascites, pleuravocht, hydropericard
- verhoogde CVD -> HJR
- hartgeruisen door klepinsufficientie (dilatatie hartkamers)
- behandeling
- minder zout intake -> zoutarm dieet (< 6 g/dag)
- meer zout excretie -> diuretica = plaspillen
- nierinsufficientie -> meer diuretica nodig
- product moet in tubulus geraken (via filtratie of secretie)
- beide wellicht verlaagd
- product moet in tubulus geraken (via filtratie of secretie)
- nierinsufficientie -> meer diuretica nodig
- te veel interstitieel vocht
Ondervulling = dehydratatie
- verlies van zout en water
- types (vaak combinaties)
- iso-osmolair dehydratatie
- bloed- of plasmaverlies
- ECF volume daalt
- braken
- diarree
- bloed- of plasmaverlies
- hyper-osmolair dehydratatie (primair waterverlies)
- niet-renale oorzaken
- te lage water inname
- te veel water verlies
- braken
- osmotische diarree
- zweten
- brandwonden
- renale oorzaken
- waterverlies in nieren
- osmotische diurese = solute diuresis
- rijk aan deeltjes
- abnormale osmolen (mannitol, glucose, ureum, calcium, ...)
- doet alles minder goed werken (PT, Henle, CCT, MCD)
- rijk aan deeltjes
- diabetes insipidus = water diuresis
- arm aan deeltjes
- onvoldoende ADH activiteit
- twee soorten
- centrale diabetes insipidus: te weinig ADH productie
- nefrogene diabetes insipidus: te weinig respons op ADH
- onderscheid
- stap 1: dorstproef -> urinaire osmolaliteit blijft laag
- om primaire polydipsie uit te sluiten
- stap 2: ADH toedienen
- osm+ -> centraal
- osm= -> nefrogeen
- stap 1: dorstproef -> urinaire osmolaliteit blijft laag
- symptomen
- wel toegang tot water
- polydipsie
- polyurie
- geen toegang meer
- TODO
- wel toegang tot water
- osmotische diurese = solute diuresis
- waterverlies in nieren
- niet-renale oorzaken
- hypo-osmolair dehydratatie (primair Na+ verlies)
- oorzaken
- renal salt wasting
- Na reabsorptie faalt
- Addison
- bijnierschors insufficientie
- te weinig glucocorticoiden
- daling GFR
- te weinig mineralocorticoiden (aldosterone)
- functie: Na reabsorptie
- meer ADH
- te weinig glucocorticoiden
- bijnierschors insufficientie
- diuretica
- thiazide
- niet: lisdiuretica -> hyper-osmolaire dehydratatie
- renal salt wasting
- symptomen
- gewichtsafname
- interstitiele symptomen
- droge huid met minder turgor
- staande huidplooi
- normaal bij oudere patienten
- staande huidplooi
- droge tong
- ingevallen ogen
- droge huid met minder turgor
- cardiovasculair
- -> probeert daling ECV te compenseren op korte termijn
- lage CVD -> platgevallen halsvenen
- lage bloeddruk
- compensatie: tachycardie
- hoofdpijn
- vermoeidheid
- shock
- dorst
- oorzaken
- iso-osmolair dehydratatie
- behandeling
- oorzaak
- corrigeer vochtverlies
- eventueel ideale osmolariteit berekenen
- vooral: evolutie opvolgen
Hyponatremie
- komt relatief vaak voor (1-2%)
- normale range: 135 - 145 mmol/l (kennen!)
- ernstig: < 125 mmol/l of snelle daling
- stap 1: meet plasma osmolariteit
- iso-osmolaire hyponatremie (275-295 mOsm/kg)
- pseudo-hyponatremie
- labo: [Na+] in plasma = 0.93 [Na+] in plasmawater
- assumptie van 93%/7% verhouding kan fout zijn
- toename fractie lipiden/proteinen in plasma
- lipiden -> hyperlipidemie
- proteinen -> Kahler
- toename fractie lipiden/proteinen in plasma
- assumptie van 93%/7% verhouding kan fout zijn
- gestegen osmolar gap = echt - verwacht
- schatting: 2 Na + ...
- labo: [Na+] in plasma = 0.93 [Na+] in plasmawater
- pseudo-hyponatremie
- hyper-osmolaire hyponatremie
- translocatie hyponatermie
- gestegen osmolar gap
- abnormale osmolen in ECF
- voorbeelden
- glucose (hyperglycemie)
- mannitol
- contraststoffen
- glycine
- gevolg: water: intra -> extra
- relatieve Na concentratie daalt
- voorbeelden
- translocatie hyponatermie
- hypo-osmolaire ("echte") hyponatremie
- stap 2: meet urinaire osmolaliteit ("doen de nieren hun werk?")
- UOsm < 100 mOsm/kg ("ja")
- primaire polydipsie
- of bierdrinkers potomanie
- weinig osmolen in voeding -> nog sneller klachten
- nieren dilueren maximaal, maar waterintake is te groot
- of bierdrinkers potomanie
- primaire polydipsie
- UOsm > 100 mOsm/kg ("nee")
- stap 3: meet urinair Na
- urinaire Na <= 30 mmol/l (normaal)
- stap 4: schat vulling ECF
- hypervolemie / oedeem (zie boven)
- ECV daalt -> Na reabsorptie
- vandaar weinig Na in urine
- oorzaken
- hartdecompensatie
- levercirrose
- nefrotisch syndroom
- ECV daalt -> Na reabsorptie
- hypovolemie (zie boven)
- ECV daalt (zoals bij hypervolemie)
- hyperosmotische dehydratatie + hypotone substitutie
- isoosmotische dehydratatie + hypotone substitutie
- hypovolemische shock
- volumecontractie -> ADH+ -> water retentie -> [Na]-
- hypervolemie / oedeem (zie boven)
- stap 4: schat vulling ECF
- urinaire Na > 30 mmol/l (verdacht veel)
- stap 4: diuretica of nierinsufficientie?
- ja
- nee
- stap 5: schat vulling
- hypovolemie
- cf. hypo-osmolair dehydratatie (primair Na+ verlies)
- renal salt wasting (Na reabsorptie faalt)
- ziekte van Addison
- cf. hypo-osmolair dehydratatie (primair Na+ verlies)
- euvolemie
- ADH secretie zonder osmotische stimulus
- voorbeelden
- glucocorticoiden tekort (Addison)
- hypothyroidie
- uitsluitingsdiagnose: syndrome of inappropriate ADH (SIADH)
- = Schwartz-Bartter
- oorzaak
- longpathologie?
- centraal ZS pathologie
- tumor?
- medicatie?
- hypovolemie
- stap 5: schat vulling
- stap 4: diuretica of nierinsufficientie?
- urinaire Na <= 30 mmol/l (normaal)
- stap 3: meet urinair Na
- UOsm < 100 mOsm/kg ("ja")
- stap 2: meet urinaire osmolaliteit ("doen de nieren hun werk?")
- iso-osmolaire hyponatremie (275-295 mOsm/kg)
- symptomen
- ernstig als heel laag (< 125) of heel snel
- doorgaans water: extra -> intra
- hersen oedeem
- desorientatie
- nausea, braken, anorexie
- bradypnee
- Cheyne-Stokes ademhaling
- bradycardie
- peesreflexen-
- uitzondering: hyperosmolaire hyponatremie (intra -> extra)
- hersen oedeem
- behandeling
- oorzaak
- drink minder water
- snel/traag ontstaan -> snel/traag corrigeren
Hypernatremie
- ernstig: > 160 mmol/l of snelle stijging
- altijd hyper-osmolair
- krimping (hersen)cellen -> scheuren -> bloeding
- oorzaken
- te hoge Na+ opname
- zeldzaam
- iatrogeen
- baby: te veel zout in flesvoeding (vroeger)
- zeldzaam
- te weinig water inname
- hyperosmolaire dehydratatie
- te veel water verlies
- lisdiuretica: meer water dan zout excretie
- diabetes insipidus (zonder compensatie door veel water te drinken)
- te hoge Na+ opname
- behandeling
- oorzaak
- meer vrij water
- IV glucose-water toedienen
- glucose voor osmolariteit
- wordt gemetaboliseerd
- glucose voor osmolariteit
- IV glucose-water toedienen
- centrale diabetes insipidus: ADH analoog toedienen (neusspray of subcutaan)
- nefrogene diabetes insipidus: oorzaak behandelen, evt. thiazide
8a (H39) Zuur-base evenwicht - fysiologie
- arterieel pH
- normaal: 7.35 - 7.45 (kennen)
- leefbaar: 6.80 - 7.70
- cytosol pH: 7.2
- 1 mmol per kg lichaamsgewicht per dag aan H+ moet geneutraliseerd worden
- zuren uit metabolisme
- zuren via voeding
- verlies base via stoelgang
- TODO: waar hoort dit thuis?
- alpha intercalated cell
- protonpomp (ATP) apicaal -> secretie H+
- beta intercalated cell
- alpha intercalated cell
Buffers

- zie podcast 5
- intracellulair
- proteinen
- fosfaten
- extracellulair
- bot
- langdurige acidose -> broze botten
- bloed (vaste verhoudingen)
- Hb (35%)
- bicarbonaat (53%)
-
- eerste reactie traag
- katalysator: koolzuuranhydrases
- tweede reactie snel
- CO2 als volatiel, potentieel, zwak "zuur"
- eerste reactie traag
- twee soorten
- plasma (35%) <- deze meten, de rest afleiden
- RBC (18%)
-
- Henderson-Hasselbalch vergelijking
- pK = 6.1 (voor bicarbonaat)
- s = 0.03
- heel sterke buffer
- door open systeem
- CO2 eliminatie
- HCO3- aanmaak in nieren
- door open systeem
-
- bot
Longen: CO2 elimineren
- PCO2 +2 mmHg -> ventilatie x2
- sensoren
- centraal (PCO2)
- medulla
- perifeer (PO2, PCO2, pH) sensoren
- sinus caroticus
- arcus aortae
- snelle reactie op CO2 stijging
- trage reactie (24u) op HCO3- stijging
- centraal (PCO2)
- pathofysiologie
- te weinig CO2 uitstoot -> PCO2+ respiratoire acidose
- te veel CO2 uitstoot -> PCO2- -> respiratoire alkalose
Nieren: HCO3- reabsorberen en aanmaken

- reabsorptie
- HCO3-vrij filtreerbaar
- koolzuuranhydrase: H2CO3 -> H2O + CO2 -> over apicaal membraan -> H2CO3
- recyclage van H+
- waar
- proximaal: 80%
- high capacity
- low gradient
- TAL: 10%
- distaal: 10%
- low capacity
- high gradient
- proximaal: 80%
- H+ in urine
- rechtstreeks (verlaagd pH)
- gebufferd door bicarbonaat
- gebufferd door zwakke basen
- aanmaak HCO3-
- vormt H+
- bufferen en dan secreteren
- twee soorten urinaire buffers
- != plasma buffers
- titreerbaar zuur (40%)
- oorsprong: filtratie
- "titreerbaar"
- ouderwetse naam
- labo: urine + NaOH tot pH=7.4 (plasma pH)
- hoeveelheid NaOH = hoeveelheid titreerbare buffers
- overige (die hogere pH zouden nodig hebben) -> niet-titreerbaar
- fosfaat
- H2O -> H+ + OH-
- H+ + HPO4- -> H2PO4
- OH- + CO2 -> HCO3-
- pK = 6.8 (pK = pH waarbij helft gebonden is = optimum)
- werkt goed bij minder lage pH (proximaal)
- gesatureerd bij lagere pH
- wordt sowieso gereabsorbeerd op einde proximale tubulus
- creatinine
- pK = 5.8
- werkt goed bij lagere pH (distaal)
- wordt ook distaal gesecreteerd
- pK = 5.8
- urinezuur (=? uraat)
- pK = 5.0
- werkt goed bij nog lagere pH (distaal)
- pK = 5.0
- niet-titreerbaar zuur (60%)
- oorsprong: synthese
- NH3 (ammoniak) + H+ <-> NH4+ (ammonium)
- pK > 9
- synthese en secretie
- ? -> OH- + NH4+
- OH- + CO2 -> HCO3-
- NH4+ -> NH3 + H+ -> over apicaal membraan -> NH4+
- "ammonium trapping": moeilijk reabsorbeerbaar
- reabsorptie in TAL
- secretie in MCD
- cyclus vooral medullair (weg van goed doorbloede cortex)
- vormt H+
- netto zuur excretie =
- titreerbare zuren
- plus niet-titreerbare zuren
- plus vrij H+
- min excretie van gefilterd HCO3-
- (had gereabsorbeerd moeten worden en daar een H+ neutraliseren)
- benodigdheden
- apicaal H+ transport
- proximaal (PT, TAL, DCT)
- NHE3
- distaal
- protonpompen (ATP)
- H-K ATPase: ICT, CCT, OMCD
- proximaal (PT, TAL, DCT)
- koolzuur anhydrase (CA)
- apicaal: CA IV
- basolateraal: CA IV
- cytosol: CA II
- koolzuur anhydrase diuretica
- inhiberen NHE3
- minder Na reabsorptie
- diuretisch effect
- minder Na reabsorptie
- inhiberen indirect dus ook HCO3- reabsorptie
- dus minder zuur excretie
- dus meer acidose
- dus minder zuur excretie
- inhiberen NHE3
- basolateraal HCO3- transport
- Cl-/HCO3- exchanger (AE1, AE2, ...)
- zie Cl- transport in TAL
- in S3, TAL, ICT, CCT, OMCD, IMCD
- dus niet: S1, S2, tDLH, tALH, DCT
- Cl-/HCO3- exchanger (AE1, AE2, ...)
- ammonium synthese
- in S1 > mitochondria
- citroenzuurcyclus
- H2O -> H+ + OH-
- 2 glutamine + 4 H+ -> glucose + 4 NH4+
- OH- + CO2 -> HCO3-
- lever: NH4+ -> glutamine
- apicaal H+ transport
- pathofysiologie
- ondervulling -> alkalose
- RAAS
- activatie NHE3 -> meer zuur excretie
- sympatisch: NE
- activatie NHE3 -> meer zuur excretie
- aldosterone
- stimulatie H+ pomp
- stimulatie Cl-/HCO3- exchanger
- K+ depletie = hypokalemie (zie later)
- meer ammonium synthese
- meer zuur excretie
- RAAS
- ondervulling -> alkalose
- effect van diuretica
- metabole acidose
- koolzuur anhydrase inhibitoren
- natrium kanaal (ENaC) blokkers
- aldosterone antagonisten
- metabole alkalose (door ondervulling)
- lisdiuretica (NKCC2)
- thiaziden (NCC)
- metabole acidose
8b Zuur-base evenwicht - pathofysiologie

- normale PCO2 = 40 mmHg
- reminder: CO2 = koolZUURgas
- stap 1: plasma pH
- te laag (< 7.35) -> acidose
- te hoog (> 7.45) -> alkalose
- stap 2: metabool vs respiratoir
- verwachte respiratoire compensatie van metabole acidose
- ~= twee decimalen van plasma pH
- acidose -> verwachte PCO2 < 35 (= compensatorische resp. alkalose)
- verwachte respiratoire compensatie van metabole alkalose
- ~= twee decimalen van plasma pH
- alkalose -> verwachte PCO2 > 45 (= compensatorische resp. acidose)
- PCO2 hoger dan verwachte PCO2 -> meer zuur -> resp acidose
- PCO2 lager dan verwachte PCO2 -> minder zuur -> resp alkalose
- verwachte metabole compensatie van respiratoire acidose
- acuut:
- chronisch:
- verwachte metabole compensatie van respiratoire alkalose
- acuut:
- chronisch:
- metabole acidose
- [HCO3-] < 24 mmol/l
- stap 3: bepaal anion gap
- threshold
- zonder K: ~12
- gap = Na - (HCO3 + Cl)
- met K: ~16
- gap = (Na + K) - (HCO3 + Cl)
- zonder K: ~12
- high anion gap metabole acidose (HAGMA)
- KUSSMALE
- (diabetische) ketoacidose
- glucose verhoogd
- uremie = nierinsufficientie
- starvation ketoacidose
- salicylzuur (aspirin)
- methanol
- alcoholische ketoacidose
- lactaat acidose
- ondervuld -> minder perfusie -> lactaatvorming mogelijk
- ethyleen glycol
- (diabetische) ketoacidose
- KUSSMALE
- non anion gap
- stap 4: bepaal urine pH
- pH > 6: RTA type 1
- pH < 6
- stap 5: bepaal urine anion gap (Na + K - Cl)
- gap > -10: RTA type 2
- gap < -20: GI probleem
- stap 5: bepaal urine anion gap (Na + K - Cl)
- stap 4: bepaal urine pH
- threshold
- metabole alkalose
- [HCO3-] > 24 mmol/l
- stap 3: inname/vorming alkali?
- ja
- nee
- stap 4: schat ECF vulling
- ECF contractie: GI of renaal
- ECF expansie: mineralocorticoiden
- stap 4: schat ECF vulling
- respiratoire acidose
- PCO2 > 40 mmHg
- stap 3: centraal vs geleiding vs perifeer
- symptomen hypercapnie (= hoge PCO2)
- blue bloater
- lage PO2 (hypoxie)
- PCO2 prikkelt ademhalingscentrum minder
- dikker
- normale ademhaling
- maar minder ventilatie door longziekte
- cor pulmonale
- lage PO2 (hypoxie)
- pink puffer
- goede PO2
- PCO2 prikkelt ademhalingscentrum beter
- mager (+ barrel chest)
- kort van adem (dyspnee)
- geen cor pulmonale
- goede PO2
- blue bloater
- respiratoire alkalose
- PCO2 < 40 mmHg
- stap 3: centraal vs perifeer vs iatrogeen
- verwachte respiratoire compensatie van metabole acidose
9a (H37) Kalium - fysiologie

- vooral intracellulair (98%)
- extra (2%)
- range: 3.5 - 5.0 mmol/l (kennen)
- functie: membraan potentiaal
Interne balans

- tussen intra- en extracellulair
- werkt snel
- bij K stijging
- eerst intracellulair opslaan (snel)
- Na-K pomp
- regulatie

- insuline
- stijgt tijdens eten -> K in voeding opnemen
- epinephrine = adrenaline
- aldosterone
- regulatie
- Na-K pomp
- dan renale excretie (traag)
- eerst intracellulair opslaan (snel)
- "K+ wisselt voor H+"

- indirect effect via verschillende pathways
- pH daalt -> extracellulair K stijgt
- acidose -> hyperkaliemie
- alkalose -> hypokaliemie
- extracellulair hyperosmolariteit
- water uitstroom -> drag -> K uitstroom
Externe balans
- werkt traag
- GI intake
- excretie
- stoelgang (10%?)
- nieren (90%?)
- K reabsorptie

- niet zo efficient (2% kwijt) als bij Na (0.4%)
- laag K dieet
- PCT: 80%
- TAL: 10%
- distaal: 8%
- high level
- prox-lis: reabsorptie
- DCT-CCT: reabsorptie
- MCD: reabsorptie
- normaal/hoog K dieet
- cf. ureum cycling
- high level
- prox-lis: reabsorptie > secretie
- DCT-CCT: secretie
- ICT+CCT= begin MCD = "distal K+ secretory system"
- MCD: reabsorptie
- dieper in medulla ~ meer K
- details


- S1-S3: drag
- S2-S3: passief (E)
- tDLH
- wel doorlaatbaar voor water
- niet doorlaatbaar voor Na
- wel doorlaatbaar voor K: passieve (C) secretie
- tALH: passieve reabsorptie
- TAL: NKCC2
- lisdiuretica: lumen voltage minder positief (cf. effect op Ca)
- veel K+ secretie
- lisdiuretica: lumen voltage minder positief (cf. effect op Ca)
- ICT - begin MCD
- Principal cell: secretie
- alpha intercalated cell (IC)
- meestal reabsorptie
- soms secretie (extra kanaal bij hoge flow)
- thiaziden: geen effect op K secretie
- MCD
- altijd reabsorptie
- paracellulair, passief
- bij normaal/hoog K dieet
- transcellulair, actief
- bij laag K dieet
- H-K pomp (ATP)
- K reabsorptie
| name | transcellular (apical) | transcellular (bl) | paracellular |
|---|---|---|---|
| S1 | N/A | N/A | R:drag |
| S2 | N/A | N/A | R:drag, (E) |
| S3 | N/A | N/A | R:drag, (E) |
| tDLH | N/A | N/A | S:(C) |
| tALH | N/A | N/A | R:(C) |
| TAL | NKCC2 (C) | Na-K | nee: medullary K trapping |
| DCT | ? | ? | ? |
| CNT | ? | ? | ? |
| ICT | S:KCC,ROMK @ principal | Na-K | N/A |
| ICT | R:H-K pomp @ alpha-IC | Na-K | N/A |
| CCT | S:KCC,ROMK @ principal | Na-K | N/A |
| CCT | R:H-K pomp @ alpha-IC | Na-K | N/A |
| OMCD | R:H-K pomp | ? | R:(C) |
| IMCD | R:H-K pomp | ? | R:(C) |
Legende
- S: secretie
- R: reabsorptie
Regulatie
- luminale factoren
- stimulatie (meer K secretie)
- (!) flow rate
- Na
- (!) flow rate
- inhibitie
- K (C)
- Cl
- stimulatie (meer K secretie)
- peritubulaire factoren
- stimulatie
- K concentratie / intake
- pH: alkalose
- groot effect
- aldosterone (= mineralocorticoide)
- effect op principal cell
- ...
- stimulatie ENaC
- apicale depolarisatie
- normaal effect (veel Na)
- veel K secretie
- bij hypovolemie -> RAAS actief
- Na reabsorptie
- zonder K verlies door inhibitie K kanaal
- normaal effect (veel Na)
- apicale depolarisatie
- effect op principal cell
- glucocorticoiden (cortisone)
- effect 1
- GFR+
- distale waterdoorlaatbaarheid-
- dus hogere flow
- dus meer K secretie
- effect 2 (bij hoge dosis)
- bindt op mineralocorticoid receptor
- geeft zelfde effect als aldosterone
- effect 1
- ADH
- variabel effect
- inhibitie
- pH: acidose (variabel (klein) effect)
- epinephrine = adrenaline
- K: extra -> intracellulair
- inhibitie van distal K+ secretory system
- stimulatie

9b Kalium - pathofysiologie
Hypokaliemie
- [K+] < 3.5 mmol/l
- oorzaken
- lage inname
- zeldzaam
- aanpassing hoog -> laag K dieet kan 2 weken duren
- geofagie (klei ingestie)
- veel verlies
- GI
- laag GI
- diarree
- hoog GI
- laag GI
- renaal
- cf. distal K+ secretory system
- teveel mineralocorticoiden (o.a. aldosterone)
- zonder ondervulling -> geen RAAS activatie
- primair hyperaldosteronisme (tumor?)
- teveel glucocorticoiden (Cushing)
- zoethout (drop, licorice)
- renovasculaire ziekten
- stress
- zonder ondervulling -> geen RAAS activatie
- tubulaire defecten en diuretica
- syndroom Bartter ~= lisdiuretica (NKCC2)
- syndroom Gittelman ~= thiazide (NCC)
- renaal tubulaire acidose (RTA)
- type 1: distaal
- defect in H+ secretie van alfa-intercalated cells
- dus veel HCO3- in tubulus
- dus veel K verlies
- ernstige acidose + ernstige hypokaliemie
- type 2: proximaal
- defect in HCO3- reabsorptie
- minder uitgesproken acidose
- kan distaal nog gecorrigeerd worden
- type 1: distaal
- syndroom Liddle
- gain of function in ENaC
- Na reabsorptie
- K secretie
- lijkt op teveel mineralocorticoiden
- maar renine en aldosterone normaal
- hoge flow door niet-reabsorbeerbare anionen in filtraat
- anionen
- HCO3- (RTA type 2)
- beta hydroxyboterzuur (bij ketoacidose)
- hippuurzuur (bij lijm snuivers)
- effect
- hoger Na aanbod distaal
- anionen
- cutaan
- beperkt via zweet
- brandwonden
- GI
- shift naar intracellulair
- alkalose
- insuline
- beta-adrenerge agonisten (behandeling asthma)
- genetisch / familiaal
- snelle celdeling (bv. RBC productie na herstel vitamine tekort)
- massieve bloedtransfusie
- bevat citraat
- lever: citraat -> HCO3- -> metabole alkalose
- lage inname
- diabetische ketoacidose
- effect op K
- ketonen -> metabole acidose
- hoog Na aanbod distaal
- K verlies
- hoog Na aanbod distaal
- hyperglycemie
- saturatie glucose transport
- osmotische diurese
- K verlies
- dehydratatie
- ketonen -> metabole acidose
- hypokaliemie hier moeilijk meetbaar
- shift intra -> extra
- dus waardes zijn vaak laagnormaal
- behandeling
- insuline + rehydratatie
- zorgen beide voor shift extra -> intra
- ernstige hypokaliemie -> hartritmestoornissen
- effect op K
- symptomen
- als < 3.0 mmol/l of als snel opkomt
- hyperpolarisatie -> spierzwakte
- striated muscle
- peesreflexen-
- paralyse
- rhabdomyolyse: spierafbraak
- smooth muscle
- nausea, anorexia
- paralyse ileum
- opgezette buik
- paralyse blaas
- hartspier
- pacemaker meer exciteerbaar (omgekeerd effect!)
- verlengd AP
- resultaat: ritmestoornissen
- ECG: soms extra U golf na T
- striated muscle
- insuline resistentie -> glucose intolerantie
- renaal
- verlies van renaal concentrerend vermogen
- AQ2-
- NKCC2-
- = nefrogene diabetes insipidus
- meer NH3 -> H+ secretie -> alkalose
- verlies van renaal concentrerend vermogen
- hyperpolarisatie -> spierzwakte
- langdurig
- nierinsufficientie
- als < 3.0 mmol/l of als snel opkomt
- behandeling
- oorzakelijk
- supplementen
- oraal
- bij beperkt tekort
- maaglast
- IV (diep veneus)
- opvolgen!
- enkel op spoed of intensieve
- opvolgen!
- oraal
- als patient diuretica nodig heeft
- neemt typisch lisdiuretica
- zorgt voor K verlies
- maar heeft wel grootste effect
- combineer met K-sparende diuretica
- natrium kanaal blokkers (ENaC) -> amiloride
- aldosterone antagonisten
- neemt typisch lisdiuretica
Hyperkaliemie
- [K+] > 5.0 mmol/l
- oorzaken
- hoge inname
- oraal: zelden/nooit
- parenteraal (dermaal, IV, injectie, ...)
- niet: oraal, rectaal, sonde
- lage secretie
- cf. distal K+ secretory system
- nierinsufficientie
- laag aldosterone
- algemeen
- minder Na reabsorptie
- waterverlies
- lage bloeddruk
- minder K secretie
- minder Na reabsorptie
- Addison
- acidose: "RTA type 4"
- pseudo-hypoaldosteronisme
- ENaC-
- medicatie
- geen renin vrijzetting (NSAID, ...)
- ACE inhibitoren
- angiotensin receptor blocker
- aldosterone receptor blocker (= diuretica)
- ENaC blockers (amiloride diurectica)
- algemeen
- lage flow / laag Na
- dehydratatie
- combinatie
- shift naar extracellulair
- insuline resistentie (DM type 2) of tekort (type 1)
- normaal: insuline -> shift naar intra
- diabetische ketoacidose
- beta blockers (klein effect)
- cel/weefseldestructie
- vooral veel K in spier en levercellen en RBC
- genetisch / familiaal
- pseudo-hyperkaliemie
- traumatische venapunctie
- te oud staal
- insuline resistentie (DM type 2) of tekort (type 1)
- hoge inname
- symptomen
- depolarisatie (omgekeerde van hypokaliemie)
- striated muscle: zwakte
- hart
- toename exciteerbaarheid hartspier
- afname (!) exciteerbaarheid sinusknoop
- hartritmestoornissen
- ECG (als > 6.0 mmol/l)
- PR langer
- QRS langer
- P top weg
- spitse T top
- brady
- renaal: minder NH3 -> acidose
- mentaal: suf, apathie, verward, coma
- depolarisatie (omgekeerde van hypokaliemie)
- behandeling
- oorzaak
- cardiale geleiding antagoniseren
- IV: Ca toedienen
- snel, kortdurend effect
- hyperpolarisatie
- IV: Ca toedienen
- shift extra -> intra
- insuline en glucose toedienen
- stimuleert Na-K pomp
- iets trager, langer effect
- NaHCO3 toedienen
- stimuleert NHE3
- tegen acidose
- effect op K?
- trager, langer
- stimuleert NHE3
- beta-adrenerge agonisten (oorzaak hypokaliemie)
- paardenmiddel
- stimuleert Na-K pomp
- trager (IV), nog trager (aerosol)
- insuline en glucose toedienen
- K secretie+
- renaal
- dialyse
- haalt K uit extracellulair vocht
- stop eerst shift naar intra
- haalt K uit extracellulair vocht
- GI
- oraal of rectaal: Na/Ca toedienen
- darm: uitwisseling met K
- heel traag
10 Ureters en blaas
Hoge urinewegen
- pyelon = pyelum
- calyces
- ureter
- pyelocaliciëel stelsel (PCS)
- pyelo-ureterale junctie (PUJ)
- vesico-ureterale junctie (VUJ)
- problemen met klep
- te hoge drukken
- methodes
- cystoscopie
- ureterorenoscopie
- urotheel
- transitioneel epitheel
- heel sterk
- twee spierlagen
- circulair
- longitudinaal
- functie: peristalsis
- pacemaker in renale pelvis
- gap junctions
- traag
- Ca induced
- obstructie
- unilateraal
- lithiasis = niersteen
- alpha blockers (alpha-adrenerge receptoren -> stimulatie peristalsis)
- typische locaties
- PUJ
- VUJ
- iliacale vaten
- tumor
- PUJ stenose = vernauwing
- strictuur
- compressie (zwangerschap, ...)
- lithiasis = niersteen
- bilateraal
- urinaire retentie
- compressie
- acuut vs chronisch
- urgenties
- acute nierinsufficientie en hyperkaliemie
- optstijgende urineweginfectie -> sepsis
- behandeling
- pijnmedicatie
- drainage
- nefrostomie
- stent
- complicatie: post-obstructieve hyperdiurese
- meer dan 200ml/u x 2u
- oorzaken
- daling medullaire concentratiegradient
- downregulatie aquaporines
- minder respons op ADH
- meer ANG II
- unilateraal
- reflux
- oorzaken
- primair: aangeboren afwijking aan VUJ
- secundair
- hoge intravesicale drukken
- afwijking in VUJ (iatrogeen)
- test: voiding cystogram
- contrastvloeistof
- blaas ledigen
- reflux zichtbaar?
- behandeling: herstel klepfunctie (chirurgisch)
- oorzaken
Lage urinewegen
Anatomie
- detrusor (m. detrusor vesicae urinariae)
- trigone: ureters -> urethra
- blaashals
- sterker bij mannen
- preventie antegrade ejaculatie
- sterker bij mannen
- interne urethrale sfincter (IUS)
- externe urethrale sfincter (EUS)
- hoefijzer vorm
Bezenuwing en reflexen
- twee functies
- opslag
- detrusor: relax
- sfincter: contract
- lediging
- omgekeerd
- opslag
- soorten bezenuwing
- autonoom
- (ortho-)sympatisch (fight or flight)
- norepinephrine
- relaxatie blaas: beta 3 adrenerge receptor
- contractie IUS: alfa 1 adrenerge receptor
- T11-L2
- blaaswand, trigonum, hals
- norepinephrine
- parasympatisch (rest or digest)
- ACh @ M3 muscarine receptor
- S2-S4
- blaaswand, interne sfincter
- (ortho-)sympatisch (fight or flight)
- somatisch (motor)
- ACh @ nicotinische ACh receptoren
- n. pudendus (S2-S4)
- contractie EUS
- sensorisch
- blaaswand
- n. hypogastricus (T11-L2)
- n. pudendus (S2-S4)
- nn. splanchnici pelvini (S2-S4)
- soorten
- A delta
- gemyeliniseerd
- van gladde spieren
- detectie blaasvulling
- C
- niet gemyeliniseerd
- vanuit mucosa en gladde spieren
- detectie stretch
- capaciteit: 300-500ml
- 150ml: eerste gevoel
- 400ml: gevoel van volle blaas
- pijn bij overdistentie
- A delta
- autonoom
- centraal
- peri-aqueductal gray (PAG)
- pontiene mictiecentrum (PMC)
- aan/uit
- "mictie reflex"
- blaasvulling reflex
- PMC "off"
- sympaticus actief
- relaxatie detrusor
- contractie IUS
- cf. fight or flight
- parasympaticus inactief
- contractie EUS (via n. pudendus)
- mictie reflex
- PMC "on"
- sympaticus inactief
- parasympaticus actief
- contractie detrusor
- relaxatie IUS
- cf. rest and digest
- relaxatie EUS (inhibitie n. pudendus)
- contractie buikspieren
Blaasfunctie
Urodynamica
- urodynamisch onderzoek (UDO)
- (video)cystometrie
- volume
- drukken
- intravesical (blaassonde)
- abdominal (rectale sonde)
- detrusor (Pdet) = intravesical - abdominal
- normaal < 15 cm H2O
- Pdet @ Qmax: 20-40 cmH2O
- uroflowmetrie (ml/s)
- Qmax
- man: > 15 ml/s
- vrouw: > 20 ml/s (korter dus minder weerstand)
- echo: post void residu (PVR) checken
- jong: < 50 ml
- ouder: < 100 ml
- Qmax
- (EMG)
- (video)cystometrie
- RX cystografie
- contraststof (jodium)
Blaasvulling
- barriere
- urotheel
- (pseudo-)stratified
- hoge weerstand
- snelle uitzetting
- paraplu cellen
- vesikels: exocytose bij blaasvulling
- paraplu cellen
- snelle regeneratie
- 72u: herstel barriere
- 10d: herstel paraplucellen
- hoge compliantie = ΔV/ΔP
- normaal: > 40 ml/cm H2O
- doel: druk laag houden
- daalt bij toenemend volume
- relaxatie detrusor
- pathologie: overactieve detrusor
- symptomen
- urgentie
- incontinentie (soms)
- nocturie
- mictiefrequentie+
- behandeling
- medicatie
- anticholinerga (M3 antagonisten)
- parasympaticus inhiberen -> geen contractie blaas
- beta mimetica (beta 3 agonisten)
- sympaticus stimuleren -> relaxatie blaas
- anticholinerga (M3 antagonisten)
- operatief
- botox
- neurostimulatie
- medicatie
- symptomen
- pathologie: overactieve detrusor
- contractie sfincters
- pathologie: verzwakte sfincter
- behandeling
- kine: bekkenbodem
- operatief
- behandeling
- pathologie: verzwakte sfincter
Blaaslediging
- mictiereflex (PMC) "on"
- contractie detrusor
- parasympatisch (ACh @ M3 + vrijzetting NO)
- eerst Pdet
- na "opening time" pas flow
- pathologie: onderactieve detrusor
- symptomen: slechte blaaslediging
- behandeling: sondage
- relaxatie sfincters
- somatisch (EUS): stop vrijzetting ACh
- pathologie: bladder outlet obstructor (BOO)
- verhoogde weerstand
- oorzaken
- benigne prostaathypertrofie (BPH)
- flow: afgevlakte curve
- urethra strictuur
- inelastisch
- flow: plateau curve
- neurogeen: detrusor-sfincter dyssynergie (DSD)
- hoge blaasdrukken
- fibrose
- verdikking
- dus minder compliantie
- vesico-ureteral (VU) reflux
- aantasting hogere urinewegen
- blaasdivertikels
- hoge blaasdrukken
- benigne prostaathypertrofie (BPH)
- behandeling
- obstructie (BPH of strictuur) behandelen
- sondage
- medicatie (M3 antagonisten, beta 3 agonisten, botox)
- operatief
Neurogene blaas
- neurologisch letsel
- combinatie van
- blaas: over- of onderactief
- sfincter: over- of onderactief/normaal
- locatie
- cerebraal (CVA, Parkingson, dementie)
- = suprapontien (boven pons)
- overactieve blaas
- ruggenmerg (dwarslesie, MS, spina bifida)
- overactieve blaas
- (overactieve sfincter)
- perifeer (diabetes, chirurgie, radiotherapie, ...)
- onderactieve blaas
- (onderactieve sfincter)
- cerebraal (CVA, Parkingson, dementie)
11 Nefrologische pathofysiologie
Proteinurie en nefrotisch syndroom
- proteinurie
- normaal < 150 mg/dag (oude definitie)
- soorten
- niet gereabsorbeerd
- albumine
- normaal < 30 mg/dag (nieuwe definitie)
- micro-albuminurie: 30-300
- macro-albuminurie: 300-3000
- nefrotische albuminurie: 3000+
- peptides
- albumine
- Tamm-Horsfall mucoproteinen
- tDLH (distaal)
- proteinen uit lagere urinewegen (prostaat, urethra)
- niet gereabsorbeerd
- oorzaken
- glomerulaire proteinurie
- te veel gefilterd
- door verhoogde drukken
- door verhoogde doorlaatbaarheid
- foot process effacement
- vaak beide
- vooral albuminurie
- glomerulopathieen
- primair
- secundair
- te veel gefilterd
- tubulaire proteinurie
- te weinig heropname
- overloop proteinurie
- o.a. ziekte van Kahler
- cf. pseudo-hyponatremie?
- te veel Ig in plasma
- o.a. ziekte van Kahler
- proteinurie door toegevoegde proteinen
- in urinewegen
- glomerulaire proteinurie
- nefrotisch syndroom
- definitie
- ernstige proteinurie (> 3000mg/dag)
- hypoalbuminemie (< 30 g/l)
- te weinig albumine in plasma
- oedeem
- hyperlipidemie
- oorzaak: altijd glomerulopathieen
- testen
- urine dipstick
- semi-kwantitatief
- enkel albuminurie
- enkel indien > 300 mg/dag (macro-albuminurie)
- niet geschikt voor micro-albuminurie
- sulfosalicylzuurtest
- semi-kwantitatief
- alle proteinen
- 24u collectie
- meest correct
- omslachtig, veel meetfouten
- oplossing: albumine/creatinine verhouding berekenen op kortere periode
- urine dipstick
- definitie
Acute en chronische nierinsufficientie
- definitie: te lage GFR
- (exogeen, niet praktisch)
-
(endogeen, overschatting)

- evolutie belangrijker dan concrete waardes
- lage GFR ~ hoge en vice versa
- product = constant
- niet bij te gespierde of te magere patienten
- impact op
- balans water
- balans opgeloste stoffen
- endocriene functie
- acuut vs tussenin vs chronisch
- eerder arbitrair
- chronisch
- traag, progressief, irreversiebel
- reductie van aantal functionele nefronen
- compensatie bij andere nefronen
- door hyperfiltratie
- dilatatie afferente arteriool
- cf. tubulo-glomerulaire feedback (TGF)
- Brenner hypothesis
- initieel goed
- schadelijk op termijn
- "hard werken -> sneller versleten"
- behandeling
- druk in glomerulus beperken
- zoutarm dieet
- geen hoge bloeddruk
- geen overgewicht
- druk in glomerulus beperken
- niet bij gezonde nierdonor met 1 resterende nier
- symptomen pas vanaf reductie tot 25%
- compensatie bij andere nefronen
- urine output
- oligurie
- anurie
- geen voorwaarde voor nierinsufficientie
- geen link met GFR
- waar zit probleem?
- pre-renaal
- probleem met doorbloeding
- ondervulling
- te veel diuretica
- stenose
- renaal
- tubulo-interstitieel
- glomurulair
- vasculair
- post-renaal
- obstructie
- uitsluiten via echo
- pre-renaal
Werkzitting 2
Casus 1
- ml/u = 0.5 ml/min
- inuline (In)
-
ml/min
- altijd volledige plasma concentratie gebruiken in noemer voor klaring
- geen correctie voor eiwitten
- altijd volledige plasma concentratie gebruiken in noemer voor klaring
- filtered load =
- excretie =
- secretie = excretie - filtered load = 0
- geen reabs en geen secretie
-
ml/min
Casus 2
- acidose (pH te laag)
- metabole acidose (HCO3- gedaald)
- met respiratoire compensatie
- Davenport: focus op "partially compensated" diagram
Casus 3
- acidose
- metabole acidose (HCO3- gedaald)
- niet resp. gecompenseerd (ademt te traag)
- of in opbouw?
- nee, duurt max 24u, dit is langer
- dus met respiratoire acidose
- of in opbouw?
Casus 4
- acidose (te lage pH)
- respiratoire acidose (PCO2 verhoogd: )
- compensatie: gestegen HCO3 ()
- meer buffer
- zoals verwacht?
- acuut:
- chronisch:
- compensatie: gestegen HCO3 ()
- respiratoire acidose (PCO2 verhoogd: )
Casus 5
- pH gedaald -> acidose
- HCO3- gedaald -> metabole acidose
- PCO2 gedaald -> respiratoire compensatie
- anion gap [mmol/l]
- som cationen - som anion
- flowchart volgen
- som cationen - som anion
Casus 6
- metabole acidose
- resp. compensatie
- zoals verwacht
- anion gap: high
- mogelijke oorzaken high anion gap metabole acidose (HAGMA)
- KUSSMALE

