Metabolisme en voeding (2022-2023)
Praktisch
- 8stp (oud curriculum)
- tweede semester
- twee delen
- metabolisme
- prof. D. Cassiman
- leerboek
- achtergrondinfo
- extra leerstof: hormonen
- e-learnings
- 8 weken
- 12 modules
- 9 responsiecolleges
- cases
- PAL sessies
- voeding
- prof. C. Matthys
- H11 (60blz)
- 6 x 1u30 les
- 20 kennisclips (20-30min)
- metabolisme
- Praktisch
-
Metabolisme
- 1 Biomoleculen
- 2 Wat is metabolisme
- 3 Hormonen en neurotransmitters
- 4 Energie
- 5 Homeostase
- 6.1 Pentosefosfaatweg
- 6.2 Synthese vetzuren en cholesterol
- 7 Lipidentransport
- 8.1 Lipide afgeleiden
- 8.2 Metabole detoxificatie
- 9.1 Aminozuur metabolisme
- 9.2 Aminozuur afgeleiden
- 10.1 Basen en nucleotiden
- 10.2 Jicht
- 12.1 Diabetes
- 12.2 Obesitas
- Overzicht
- Voeding
Metabolisme
1 Biomoleculen
Koolhydraten (KH)
- monosachariden
- triose
- glyceraldehyde
- dihydroxyaceton
- pentose
- ribose
- deoxyribose
- hexose
- stereochemie
-
chirale centra in een aldohexose
-
aldohexose isomeren
- 8 L-enantiomeren
- 8 D-enantiomeren (in vivo)
- D-glucose
- zoetheid: 0.8
- D-galactose
- zoetheid: 0.6
- D-mannose
- ...
- D-glucose
-
chirale centra in een ketohexose
-
ketohexoses
- 4 L-enantiomeren
- 4 D-enantiomeren
- D-fructose
- zoetheid: 1.15-1.70 (hoger bij lage temperatuur)
- D-fructose
-
ketohexoses
-
aldohexose isomeren
- projecties
- Fischer
- Haworth
- ringvorm
- pyranose (6-ring)
- furanose (5-ring)
- extra chiraal centrum
- anomeer: op positie 1 omlaag
- anomeer: op positie 1 omhoog
- ringvorm
-
chirale centra in een aldohexose
- stereochemie
- fucose = 6-deoxy-L-galactose
- triose
- glycosidebinding
- or depending on configuration of C1 in link
-
-glycosidic bond└┘
- maltose = -D-glucose + -D-glucose
- sucrose = -D-glucose + -D-fructose
- = saccharose
-
-glycosidic bond |‾|_|
- lactose = -D-galactose + -D-glucose
- lactose intolerance: lack enzyme to break this bond
- lactose = -D-galactose + -D-glucose
- disachariden
- maltose = glucose glucose
- moutsuiker
- zoetheid: 0.4
- sucrose = glucose fructose
- biet/rietsuiker
- zoetheid: 1.0 (referentie)
- lactose = galactose glucose
- melksuiker
- zoetheid: 0.2
- laxatieve werking
- opwarming -> onverteerbaar lactulose
- isomaltose
- trehalose (in paddestoelen -> "hal"lucinaties)
- cellobiose
- maltose = glucose glucose
- oligosachariden (3-9)
- fructoseoligosachariden = fructose + glucose
- raffinose = sucrose + 1-3 galactose
- in sojabonen, peulvruchten, kool
- maltodextrine = 5-11 glucose
- "suikerstruiken"
- vertakte glycoproteinen op membranen
- Ser, Thr -> -gebonden
- Asn -> -gebonden
- alledrie polaire, ongeladen AZ
- vertakte glycoproteinen op membranen
- polysachariden (10+)
- glycogeen
- stammen: glucose glucose
- vertakkingen: glucose glucose
- klein eiwit in centrum: glycogenine
- zetmeel
- amylose (20%): onvertakt
- amylopectine (80%): vertakt, veel langer
- trage, slechte vertering
- moet gekookt worden
- afkoeling -> retrogradatie amylose
- 10-20%: resistent zetmeel -> onverteerbaar
- in wortels, knollen, onrijp fruit, peulvruchten, rijst
- dextranen
- tandplak
- non starch polysacharides (NSP)
- onoplosbaar
- cellulose = glucose glucose
- (lignine)
- oplosbaar
- pectine
- gommen
- mucilagenen
- ?
- hemicellulose
- onoplosbaar
- high fructose corn syrup (HFCS)
- HFCS 55: 45% glucose + 55% fructose
- chitine = GlcNac GlcNac
- glycosaminoglycanen
- sterk negatief geladen
- hyaluronzuur = GlcUA GlcNAc GlcUA GlcNAc ...
- glucuronzuur (GlcUA)
- N-acetylglucosamine (GlcNAc)
- synovia, kraakbeen, oog, navelstreng
- heparine
- anti-stolling
- negatief geladen sulfaatgroepen (S)
- glycogeen
- verteerbaar - niet verteerbaar
- verteerbaar -> glycemische KH
- afbraak in dunne darm
- glucose
- fructose
- galactose
- maltose
- zetmeel
- vers gekookt
- raffinose?
- niet -> niet-glycemische KH
- fermentatie in dikke darm door bacterien
- resistent zetmeel
- pectine
- betaglucanen
- fructo-oligosachariden (FOS)
- in ajuin, artisjok
- galacto-oligosachariden (GOS)
- geen fermentatie
- cellulose
- lignin
- fermentatie in dikke darm door bacterien
- verteerbaar -> glycemische KH
- polyolen
- alcoholen met meerdere groepen
- specifiek
- diol: 2
- oestradiol
- triol: 3
- glycerol
- calcitriol
- tetrol: 4
- diol: 2
- suikeralcoholen
- sorbitol
- glucose ->[aldosereductase] sorbitol
- in fruit
- trage, onvolledige absorptie -> dieetvoeding
- flatulentie
- zoetheid: 0.5
- xylitol
- zoetheid: 1.0
- mannitol
- galactitol
- inositol
- sorbitol
- absorptie in bloedbaan
- actief transport (Na+ kanalen)
- glucose
- galactose
- carriergemedieerde opname
- fructose
- passief (diffusie)
- polyolen
- actief transport (Na+ kanalen)
Lipiden
- hydrofoob
- hydrofobe hydratatie
- S neemt toe
- vetzuren
- lengte (even)
- 2-4: short chain fatty acids (SCFA)
- niet in voeding, enkel via afbraak
- 6-12: medium (MCFA)
- 14-18: long (LCFA)
- 20-22: very long (VLCFA)
- cf. kleuter-lager-middelbaar-hoger
- 2-4: short chain fatty acids (SCFA)
- verzadigd
- hoge smelttemperatuur
- langer -> hoger
- vooral dierlijk
- ook palmolie, kokosolie, cacaoboter
- hoge smelttemperatuur
- onverzadigd
- lagere smelttemperatuur
- vooral plantaardig
- cis (in vivo)
- "knik"
- trans
- mono-onverzadigd
- omega 9
- olijfolie
- avocado
- pinda
- amandel
- omega 9
- poly-onverzadigd
- omega 3
- vis
- schaaldieren
- soja
- walnoot
- koolzaad
- omega 6
- mais olie
- zonnebloem olie
- omega 3
- lengte (even)
- lipide = vetzuur + ester binding + alcoholgroep
- triviale namen

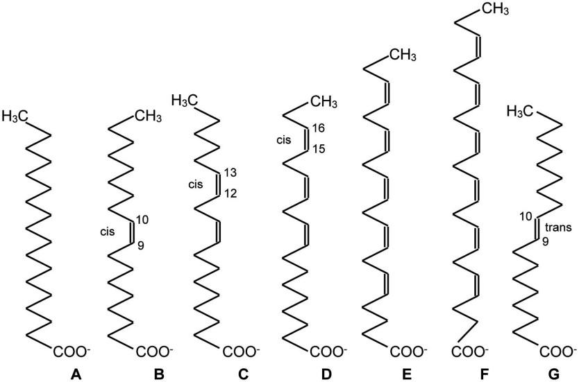
Een aantal voor de mens relevante vetzuren
- (a) Stearaat (C 18, verzadigd)
- (b) Oleaat (C 18, mono-onverzadigd)
- (c) Linoleaat (C 18, poly-onverzadigd, een omega-6-vetzuur, want de laatste C=C-binding zit zes koolstofatomen van het uiteinde (top))
- (d) Linolenaat (C 18, poly-onverzadigd, een omega-3-vetzuur)
- (e) EPA (eicosapentaeenzuur)
- (f) DHA (docosahexaeenzuur), beide zijn omega-3-vetzuren in visolie
- (g) Elaïdinezuur, een trans-C 18, mono-onverzadigd vetzuur waarvan de vetzuurstaart niet ‘knikt’, maar recht doorloopt
| Structuur | Lengte | S Naam | T Naam | Verzadigd |
|---|---|---|---|---|
| C14 | tetradecanoaat | myristaat | Y | |
| C16 | hexadecanoaat | palmitaat | Y | |
| C18 | octadecanoaat | stearaat | Y | |
| C20 | eicosanoaat | arachidaat | Y | |
| C22 | docosanoaat | behenaat | Y | |
| C16 | cis-9-hexadecanoaat | palmitoleaat | N | |
| C18 | cis-9-octadecanoaat | oleaat | N | |
| C18 | octadecadiënaat | linoleaat | N | |
| C18 | octadecatriënaat | linolenaat | N | |
| C20 | eicosatetraenaat | arachidonaat | N |
- triglyceriden = triacyl-glycerolen
- glycerol + 3 vetzuren
- esterbinding
- membraanlipiden
- amfipatisch
- fosfolipiden = glycerolipiden = fosfatidyl + extra groep
- fosfatidyl = gylcerol + 2 vetzuren + P
- extra groep ("polaire kop" op P)
- choline -> fosfatidylcholine (PC) = lecithine
- ethanolamine -> fosfatidylethanolamine (PE)
- serine -> fosfatidylserine
- inositol -> fosfatidylinositol
- sfingolipiden = sfingosine + 1 vetzuur
- sfingosine: amino-alcohol
- twee staarten
- sfingomyeline = sfingosine + vetzuur + fosfocholine
- glycolipiden
- != glycoproteinen (ook op membraan)
- enkel in buitenste deel bilayer
- voorbeelden
- cerebrosiden: monosaccharide i.p.v. P
- gangliosiden: suikerboom i.p.v. P
- genetisch polymorfisme
- meerdere allelen voor 1 gen
- voorbeeld: ABO bloedgroepen
- andere lipiden
- sterolen
- polycyclisch alcohol
- sterolkern: 4 ringen (A,B,C,D)
- cholesterol
- enkel in dierlijk voedsel
- polaire kop ()
- cholesterol-esters: cholesterol + vetzuur (LCFA)
- cholesterolafgeleiden (zie onder)
- fytosterolen
- tegenhangers in planten
- amper opgenomen uit voeding
- cardiolipine = difosfatidylglycerol
- in binnenste mitochondriaal membraan
- plasmalogenen
- vervang vetzuur door alcohol
- en esterbinding door etherbinding
- => alcohol-glycerolether
- productie in peroxisomen
- vooral in neuronen
- beschermen tegen VLCFA
- endocannabinoiden
- anandamide
- N-arachidonyl-fosfatidyl-ethanolamine (NAPE)
- eicosanoiden
- vetoplosbare vitaminen
- A (incl. carotenoide), D, E, K
- sterolen
- mozaiekmodel celmembraan
- lipid rafts: sfingolipiden + cholesterol (H bond)
- membraaneiwitten
- twee types
- integraal
- perifeer
- vooral in lipid rafts
- twee types
Aminozuren

| Afk. | Aminozuur | Polair | Lading |
|---|---|---|---|
| Gly | Glycine | N | / |
| Ala | Alanine | N | / |
| Val | Valine | N | / |
| Leu | Leucine | N | / |
| Ile | Isoleucine | N | / |
| Met | Methlonine | N | / |
| Phe | Phenylalanine | N | / |
| Trp | Tryptophan | N | / |
| Pro | Proline | N | / |
| Ser | Serine | Y | N |
| Thr | Threonine | Y | N |
| Cys | Cysteine | Y | N |
| Tyr | Tyrosine | Y | N |
| Asn | Asparagine | Y | N |
| Gln | Glutamine | Y | N |
| Asp | Aspartate | Y | zuur |
| Glu | Glutamate | Y | zuur |
| Lys | Lysine | Y | base |
| Arg | Arginine | Y | base |
| His | Histidine | Y | base |
- zie ook Excel
- aminozuur
- groep
- groep
- zijketen
- apolair
- polair
- ongeladen
- Cys: redoxgevoelig -> S-bruggen
- Ser, Thr, (Tyr): reactieve groep
- O-glycolisering
- ongeladen
- twee enantiomeren
- L "levo" (in vivo, omgekeerde van suikers)
- D
- uitzondering: Gly
- standaard: alpha variant
- aantal
- 22 proteinogenic AZ
- 20 standaard AZ
- 21e: selenocysteïne (Sec) o.b.v. selenium (Se)
- Se lijkt chemisch op S (beide groep 16)
- 22e: niet in eukaryoten
- non-proteinogenic AZ
- citrulline
- ornithine
- gamma-aminobutyric acid (GABA)
- 22 proteinogenic AZ
- peptidebinding
- condensatie
- vs hydrolyse
- endergonisch (energie nodig)
- oligopeptiden
- polypeptiden
- proteinen (>100 AZ)
- endopeptiden
- exopeptiden
- carboxypeptide aan C terminus
- aminopeptide aan N terminus
- condensatie
- bijna alle enzymes zijn eiwitten
- thyreotropine (TSH)
- glycoproteine
- productie in hypofyse
- effect: simulatie schildklier
- thyreotropine-releasing hormone (TRH)
- N=3
- productie in hypothalamus
- effect: meer TSH
- thyroglobuline
- productie schildklierhormoon
- titine
- elasticiteit sacromeren
- thyreotropine (TSH)
- structuur
- primair: AZ sequence
- 2: alpha helix, beta sheet
- 3: 3D vorm
- 4: meerdere polypeptiden
- dimeren
- homodimeren
- heterodimeren
- trimeren, ...
- voorbeeld: hemoglobine
- 2 alpha + 2 beta chains
- dimeren
- orthologe eiwitten
- zelfde type in verschillende diersoorten
- gemeenschappelijke voorouder
- voorbeelden
- insuline
- A keten (N=21)
- B keten (N=30)
- cytochroom c
- histon H4
- insuline
- paralogen = isovormen
- verschillende soorten eiwitten van zelfde familie binnen 1 species
- voorbeelden
- insuline vs IGF-1, IGF-2
- myoglobine vs hemoglobine
- HOX genenclusters
- pathologie
- kwasjorkor: eiwit ondervoeding
Nucleinezuren
- nucleotide
- nucleoside
- base
- purines (2 ringen)
- adenine (A)
- guanine (G)
- pyrimidines (1 ring)
- cytosine (C)
- uracil (U)
- thymine (T)
- purines (2 ringen)
- (deoxy)ribose
- 1': base
- 2': deoxy
- 5' -> 3' fosfodiester bindingen
- base
- P
- nucleoside
- DNA
- baseparen
- G#C
- A=T
- dubbele helix
- antiparallel
- 10bp / winding
- baseparen
Enzymen
- katalyse
- activeringsenergie verlagen
- geen effect op evenwicht
- soms reversibel
- vertering eiwitten
- trypsine
- chymotrypsine
- classificatie
- EC1: oxidoreductasen
- dehydrogenasen -> oxidatie door reductie van NAD+, NADP+, FAD
- oxygenasen
- mono- -> CYP
- di-
- EC2: transferasen
- hexokinase
- EC3: hydrolasen
- peptidasen = proteasen
- lipasen
- sacharidasen
- sucrase
- lactase
- maltase
- nucleotidasen
- EC4: lyasen
- EC5: isomerasen
- EC6: ligasen
- omgekeerde hydrolasen
- RNA/DNA polymerase
- EC1: oxidoreductasen
2 Wat is metabolisme
- drie doelstellingen
- ATP
- NADPH
- bouwstenen
- paden vs flux
- anabool vs katabool
- energy charge (EC)
- hoge EC -> te veel ATP -> anabolisme
- lage EC -> te weinig ATP -> katabolisme

- houdt zichzelf in balans
Stofwisselingsziekten
- koolhydraten
- glycogenosen
- type II = ziekte van Pompe
- enzym vervangings therapie
- alpha glucosidase
- fructosemie
- galactosemie
- G6PD deficientie
- congenitale glycolysatieziekten
- glycogenosen
- lipiden
- hyper/hypolipoproteinemie
- peroxisoomziekten
- gangliosidosen
- AZ
- fenylketonurie (PKU)
- Phe -> Tyr te traag
- enzym: Phe hydroxylase
- gevolgen
- stapling Phe
- hersenen: Tyr, Trp verliezen competitie met Phe om door BBB te geraken
- lever: Phe -> fenylpyruvaat (zie later) -> urine
- Tyr tekort
- dopamine, adrenaline tekort
- melanine tekort
- stapling Phe
- behandeling: dieet zonder Phe
- alkaptonurie
- stapeling homogentisaat
- symptomen
- zwarte verkleuring (huid, ogen, urine)
- artritis
- degeneratie hartkleppen
- albinisme
- porfyrieen
- defect in haem synthese
- nieuw medicijn: Givosiran = ALAS1 RNAi
- fenylketonurie (PKU)
- nucleotiden
- Lesh-Nyhan syndroom
- adenosine deaminase (ADA) deficientie
- severe combined immunodeficiency (SCID)
- leven in "bubble"
- gentherapie
- preventie
- neonatale hielprik
3 Hormonen en neurotransmitters
- afkortingen
- AT: angiotensine
- ACE: AT converting enzyme
- LH: luteinizing hormone
- FSH: follicle stimulating hormone
- HCG: human chorionic gonadotropin (in plancenta)
- TRH: thyreotropine-releasing hormone
- TSH: thyroid stimulating hormone
- TG: thyroglobuline (enorm eiwit)
- TPO: thyroidperoxidase
- T4: thyroxine (= tetraiodothyronine)
- T3: triiodothyronine
- rT3: reverse T3
- DIO1/2/3: de-iodase 1/2/3
- TBG: thyroxine/thyroid hormone binding globuline
- bonus: soorten hormonen
- peptides
- grootste groep
- AZ afgeleiden
- Tyr -> T4
- melatonine
- steroids
- cortisol
- sex hormones
- eicosanoids
- gas
- ethyleen (in planten), NO
- peptides
- snelheid
- constant vs pulsatiel
- pleiotropie
- meer dan 1 effect
- deels verklaard door receptor subtypen (paralogen)
- voorbeeld: insuline
- polair
- binden aan membraanreceptor
- apolair
- transport eiwit in bloedbaan
- diffusie door membraan
- binden op nucleaire receptor
- uitrol transscriptie programma
Peptide hormonen
- productie
- mRNA -> rER -> pre-pro-X -> golgi -> pro-X -> X
- mRNA -> rER: detectie via signal sequence
- pro-X -> X: knippen
- prohormoon convertasen
- PC1/3
- PC2
- PCSK9: ~LDL receptor lever
- ... (9 in totaal)
- alternative splicing: verschillende hormonen uit zelfde sequence
- targets: RR/KR
- prohormoon convertasen
- voorbeeld: insuline
- mRNA
- pre-proinsuline
- 1 sequence met signal, B, C, A delen
- proinsuline
- signal sequence weg
- vouwen
- 3 S-S bruggen
- insuline
- C ketting weggeknipt
- A en B losse kettingen
- zink-insuline hexameer
- ...
- mRNA -> rER -> pre-pro-X -> golgi -> pro-X -> X
- renine-angiotensine-aldosteron systeem (RAAS)
- doel: homeostase bloeddruk
- lever maakt angiotensinogeen (N>450)
- nier/glomerulus: zet renine vrij bij lage bloeddruk
- renine knipt angiotensine I (N=10) uit angiotensinogeen
- ACE knipt tot angiotensine II (N=8)
- 1) angiotensine II -> vasoconstrictie
- 2) bijnierschors: maakt aldosteron o.i.v. angiotensine II
- nier: meer opname Na/K (+osmose) o.i.v. aldosteron
- gevolg: meer bloedvolume
- aminopeptidase knipt AT II tot AT III
- ACE2 breekt AT III af
- schildklierhormonen (HB 9.4.11)
- hypothalamus: TRH
- hypofyse (ant): TSH
- receptor : TSHR
- glycoproteine (N-gebonden)
- twee ketens (ter info)
- alpha
- ook in HCG, LH en FSH
- beta
- paralogen in TSH, HCG, LH, FSH
- alpha
- thyroid: TG -> T4

- TG
- groot eiwit (N > 2700)
- bevat 120 Tyr
- productie in cytoplasma
- exocytose -> colloid
- groot eiwit (N > 2700)
- Na+/I- symporter -> meer I in colloid
- in colloid
- oxidatie van I-
- m.b.v. en enzyme TPO
- TPO
- jodinatie van Tyr
- twee I toevoegen op ring
- slechts enkele Tyr?
- conjugatie van Tyr
- twee Tyr zijketens covalent binden
- = tetrajodothyronine residu
- jodinatie van Tyr
- oxidatie van I-
- endocytose: colloid -> endosoom
- lysosomen: afbraak 1 TG -> veel T4 (en T3)
- door proteasen (i.e., cathepsines)
- T4 bindt aan TBG voor transport in bloed
- perifere weefsels
- activatie m.b.v. DIO1/2: T4 -> T3
- 1 I weg uit buitenste ring
- deactivatie m.b.v. DIO3: T4 -> rT3
- 1 I weg uit binnenste ring
- DOI1-3: selenoproteinen
- o.b.v. 21e AZ selenocysteïne
- activatie m.b.v. DIO1/2: T4 -> T3
- in kern
- T3 receptor: THR / RXR (dimeer)
- up/downregulatie gentransscriptie
- negatieve feedbackloop naar hypothalamus (TRH) + hypofyse (TSH)
- afbraak
- glycoproteine hormonen
- zoals TSH
- eindstandig siaalzuur residu
- sialidasen: verwijder zuur
- asialoglycoproteinen
- lever: asialoglycoproteinen uit circulatie
- aantal zuren bepaalt levensduur hormoon
- peptidehormonen
- insuline
- 50% direct afgebroken in lever
- insuline
- glycoproteine hormonen
Steroid hormonen

- hydrofoob
- transport proteinen
- sex hormone binding globulin (SHBG)
- transcortine
- cortisol
- kunnen door celmembraan
- receptor typisch in cytoplasma of kern
- traag effect
- transport proteinen
- insecten: ecdyson
- metamorfose
- mens
- uit cholesterol
- uit voeding
- mevalonaatweg (de novo synthese uit ACoA)
- enzym: cholesterol desmolase (CYP11A1)
- bijnieren (adrenes)
- cortex
- cholesterol -> pregnenolon
- side chain cleaving
- in mitochondria
- pregnenolon -> progesteron
- zona glomerulosa
- mineralocorticoiden
- 18-hydroxylering
- aldosterone (zie RAAS)
- mineralocorticoiden
- zona fasciculata
- glucocorticoiden
- 17-hydroxylering
- cortisol
- fluxcontrole via CYP11A1
- hypothalamus: corticotropin releasing hormone (CRH)
- hypofyse: adrenocorticotroop hormoon (ACTH)
- bijnier cortex receptor: melanocortine type 2 (MC2R)
- via cAMP -> CYP11A1 regulatie
- effect
- metabool (o.a. PEPCK in lever)
- immunologisch: anti-inflammatoir
- negatieve feedback op hypothalamus
- synthetisch via medicatie
- lichaam maakt zelf minder cortisol aan
- traag afbouwen
- anders: ziekte van Addison (adrenal insufficiency)
- receptor: glucocorticoid receptor (GR) -> complex
- complex bindt op glucocorticoid reponsief element (GRE) in DNA
- fluxcontrole via CYP11A1
- glucocorticoiden
- zona reticularis
- dehydro-epiandrosteron (DHEA)
- (4e laag bij bijnier van foetus)
- DHEA synthese
- helpt placenta om oestrogeen te maken
- DHEA synthese
- locatie onbekend
- androgenen
- cholesterol -> pregnenolon
- medulla
- adrenaline (geen steroide)
- cortex
- gonaden
- fluxcontrole
- LH voor cholesterol -> pregnenolon
- progesteron
- (dihydro-)testosteron -> androgeen receptor
- oestradiol -> oestrogeen receptor
- afgeleid van testosteron
- fluxcontrole
- varia
- retinoinezuur (RA)
- uit vit A (retinol)
- receptor: RAR/RXR
- effect: celdifferentiatie
- tekort: xeroftalmie (rood sclera oog)
- calcitriol
- hormoon
- effect: Ca huishouding
- pathologie
- rachitis = Engelse ziekte (kromme benen in kinderen)
- osteomalacie: zwakke botten in volwassenen
- osteoporose: niet zwakker maar wel minder dense
- productie
- mevalonaatweg -> ~cholesterol
- cholesterol ->[UV licht] vitamine D3 (cholecalciferol)
- D3 -> hydroxylering @ lever -> hydroxylering @ nier -> calcitriol
- 2x m.b.v. CYP
- hormoon
- retinoinezuur (RA)
- uit cholesterol
Neurotransmitters
- neurotransmitters
- ~10
- werken fractie van seconde
- classificatie
- adenosinerg
- adrenerg
- cholinerg
- GABAerg
- dopaminerg
- serotoninerg
- histaminerg
- melatonerg
- ...
- aminozuren en afgeleiden
- Glu -> GABA
- Glu zelf ook NT (excitatorisch)
- GABA (inhibitorisch)
- benzodiazepines versterken effect GABA
- alcohol
- acuut: meer GABA
- chronisch: lichaam compenseert met meer Glu
- ontwenning: te veel Glu
- caffeine: Glu receptoren meer effectief
- afbraak Glu
- opname door astrocyte
- Glu + NH4+ -> Gln -> neuronen / bloedbaan
- Phe -> Tyr -> DOPA -> dopamine -> noradrenaline (NE) -> adrenaline
- catecholamines
- dopamine
- noradrenaline
- adrenaline
- afbraak catecholamines
- mono-amine oxidase (MAO)
- MAO inhibitoren: psychofarmaca die afbraak NT vertragen
- catechol-O-methyl-transferase (COMT)
- noradrenaline -> normetanefrine
- via urine
- mono-amine oxidase (MAO)
- catecholamines
- Trp -> 5-hydroxytryptofaan -> serotonine (5HT) -> ... -> melatonine
- serotonine
- melatonine
- in epidyse
- bioritme
- != melanine (uit Tyr)
- melatonine
- afbraak serotonine
- gelijkaardig aan NE
- SSRI: psychofarmaca
- serotonine
- Ser -> choline -> acetylcholine (ACh)
- choline
- choline + A-CoA -> ACh + CoA
- abraak ACh
- ACh -> choline + acetaat
- enzym: ACh-esterase (AChE) in synapsspleet
- choline heropname
- effect: spieren
- receptoren (nicotinerg)
- curare: blokkering
- nicotine: versterkt effect
- choline
- Gly
- Arg -> NO
- hier als NT i.p.v. (paracrien) hormoon
- heel reactief (ongepaard electron)
- retrograde
- modulatie anterograde NT (meestal Glu)
- NO synthase (NOS)
- drie paralogen
- NOS1 = nNOS (neuronaal) @ zenuwstelsel
- NOS2 = iNOS (inducable) @ leukocyten
- NO als chemisch wapen
- NOS3 = eNOS (endotheel) @ endotheelcellen
- oude naam: EDRF
- vasodilatie (cf. viagra)
- drie paralogen
- Glu -> GABA
- vetzuur afgeleiden
- endocannabinoiden
- voorbeelden
- anandamide
- NAPE
- retrograde
- uit arachidonzuur
- receptor: CB1, CB2
- hennep -> tetrahydrocannabinol (THC)
- voorbeelden
- endocannabinoiden
- intermezzo: opioids
- endorfines
- dynorfine
- enkefaline
- beta-endorfine
- receptoren: delta, kappa, mu opiaatreceptoren
- reageren ook op opium, morfine, heroine
- endorfines
- neuropeptiden
- ~100
- geen heropname, herbruik
- wel afbraak
- werken minuten
- effect
- eetlust
- gemoed
- libido
- pijnperceptie
- stress response
- link met NT
- ACh -> Substance P, VIP
- adrenaline -> NPY, neurotensine
- NE -> NPY, galanin, enkefaline
- dopamine -> CCK, neurotensine, GLP-1
- serotonine -> Substance P, TRH, enkefaline
- andere voorbeelden
- CRH
- TRH
- Arg-vasopresinne (AVP) = antidiuretic hormone (ADH)
- oxytocine
- somatostatine (SST)
- neuropeptide Y (NPY)
- endorfines
- adrenerge receptoren
- alpha 1 A-D
- alpha 2 A-B
- beta 1
- beta 2
- beta 3
Lokale hormoonachtige stoffen
- histamine
- uit His via decarboxylatie
- AZ (COO- en NH3+) -> amine (enkel NH3+)
- His -> histamine + CO2
- oorsprong
- antigeen + IgE antilichaam
- IgE receptor
- waar
- leukocyt > basofiele granulocyt
- mast cel (huid)
- effect: vrijzetting leukotrienen, histamine, PAF
- resultaat: ontstekingsreactie
- allergie: overdreven reactie
- waar
- H1 receptor
- antihistaminica
- behandeling allergie
- antihistaminica
- H2 receptor
- productie maagzuur in parietale cellen
- uit His via decarboxylatie
- eicosanoiden
- werken heel snel
- uit C20 vetzuur: arachidonzuur (AA)
- prostaglandinen
- = lipiden met ringen
- voorbeelden
- PGF2a, PGE2
- contractie/relaxatie gladde spiercellen
- bescherming tegen maagzuur
- prostacycline (PGI2)
- remt aggregatie bloedplaatjes
- uit endotheel
- thromboxaan (TXA2)
- activeert aggregatie bloedplaatjes
- uit subendothelium
- toepassing: NSAID
- voorbeeld: aspirine, ibuprofen
- remmen cyclo-oxygenase (COX)
- minder prostaglandines
- lang gebruik: maagzweren en GI bloedingen
- PGF2a, PGE2
- leukotrienen
- initieel ontdekt in leukocyten
- uit vetzuur membraan
- enzym: fosfolipase A2
- spelen rol bij inflammatie luchtwegen bij astma
- synthese heeft Cys nodig
- groeifactoren (GF)
- nerve growth factor (NGF)
- EGF
- hematopoiese
- aanmaak bloedcellen
- uit multipotente hematopoietic stemcells
- in beenmerg
- bepalende factoren
- lokaal
- interleukines (IL 1-12)
- colony stimulating factors (CSF)
- endocrien
- erythropoeitine (EPO)
- zie hot topic?
- gemaakt in nier bij lage pO2
- TODO feochromocytoom
- TODO Warburg effect
- abnormaal versnelde glycolyse
- transcriptiefactoren: HIF2alpha, HIF1beta
- HIF = hypoxia-inducible factor
- HIF1alpha wordt afgebroken bij hoge pO2
- effect: meer RBC
- pathologie: chronische nierziekte -> anemia
- paraloog van thrombopoeitine (TPO)
- erythropoeitine (EPO)
- lokaal
- aanmaak bloedcellen
- tumor necrosis factor (TNF) alpha
- pleiotropie: veel functies
- adipocyte, osteaclast, T cell, B cell, ...
- anti-TNF voor chronische inflammatie (o.a. IBD)
- productie: macrofagen
- pleiotropie: veel functies
Flux, voeding, ziektebeelden
- insuline vs glucagon
- bloedsuikerspiegel (glycemie)
- meten in hypothalamus
- en in beta cellen?

- veel glucose -> veel ATP -> K+ ATP kanaal sluit
- -> depolarisatie
- -> voltage dependent Ca2+ channel (VDCC) open
- -> Ca2+ influx -> exocytose insuline
- andere receptoren
- GLP-1: +
- GIP: +
- alpha2A adrenerg: -
- SST: -
- insuline/glucagon ratio
- glycogeen
- synthese vs afbraak
- in lever
- glucose
- gluconeogenese @ lever, nieren
- kost veel energie
- glycolyse @ lever, spieren, vet: meer vs minder
- gluconeogenese @ lever, nieren
- lipiden
- vooral o.i.v. adrenaline i.p.v. glucagon
- lipogenese @ lever, vet
- lipolyse @ vet
- ketogenese @ lever
- diabetes type I
- 10%, jonge mensen
- auto immuun -> tekort aan beta cellen
- weinig insuline -> hyperglycemie
- glucosurie: glucose in urine
- polyurie, polydipsie (veel drinken)
- geen brandstof in cellen omdat glucosetransport naar cytoplasma stil ligt
- weefsels gaan vetzuren verbranden met beta oxidatie
- katabolisme
- geen optie voor hersenen
- lever: vetzuren -> ketonen -> alternatieve brandstof
- te veel ketonen -> bloed te zuur -> ketoacidose -> coma
- lever: vetzuren -> ketonen -> alternatieve brandstof
- weefsels gaan vetzuren verbranden met beta oxidatie
- diabetes type II
- 90%, ouderdomsdiabetes
- insuline resistentie
- later pas insulinetekort (betacellen uitgeput)
- insulinoom
- kleine tumor die insuline produceert
- vaak benign
- feochromocytoom
- kleine tumor in bijniermerg
- 90% benign
- meer adrenaline
- hoge bloeddruk, zweten, hoofdpijn, tachycardie, tremor, hyperglycemie,...
- kleine tumor in bijniermerg
- Cushing
- cf. Addison's
- teveel cortisol
- o.a. door tumor hypofyse -> meer ACTH
- symptomen
- gluconeogenese +
- hyperglycemie
- moon face
- subcutaan -> abdominaal vet
- striae
- hypothyroidie
- oorzaak
- aangeboren
- fout TG gen
- verworven
- auto immuun (Hashimoto)
- endemisch
- I tekort in voeding
- gevolg: goiter = struma
- door gebrek negatieve feedback
- extra productie -> geen hypothyroidie meer
- aangeboren
- gevolg
- daling temp
- cognitieve vertraging
- constipatie
- bradycardia
- gewicht +
- myxoedeem: pafferig gezicht
- cretinisme: onomkeerbare psychomotorische achterstand bij kinderen
- neonatale check via hielprik
- oorzaak
- hyperthyroidie
- auto immuun (Graves): TSH receptor activatie door antistoffen
- tumor
- symptomen
- temp +
- diarree
- tachycardie
- exoftalmie (enkel bij Graves)
- fenylketonurie (herhaling)
- te weinig Phe -> Tyr in lever
- te veel Phe in bloed
- Phe verdringt Tyr, Trp bij opname in hersenen (BBB)
- te weinig dopamine, noradrenaline, serotonine uit Tyr
- psychomotoriche achterstand
- behandeling: aangepast dieet zonder Phe en met extra Tyr
- neonatale check via hielprik
4 Energie
Energieproductie
- RBC: anaeroob
- O2 vervoeren, niet gebruiken
- geen mitochondrien
- enkel glycolyse
- ATP = adenosine 5' trifosfaat
- 100 mol/dag nodig
- productie
- rendement: 40% (+ nuttige warmte)
- fosforylering op substraatniveau (10%)
- oxidatieve fosforylering (90%)
- CAC + e transport chain
Glycolyse




- 10 stappen
- details niet belangrijk (enzymen, structuurformules, tussenproducten)
- input: glucose + 2 ATP
- output: 2 pyruvaat + 4 ATP
- focus: drie onomkeerbare stappen
- 1) G + ATP -> G6P + ADP
- enzymes: 4 paraloge hexokinasen
- HK 1-3
- hoge affiniteit voor glucose
- verzadigd gebied?
- glucokinase (GCK)
- in lever, pancreas
- werkt in lineair gebied
- belangrijk om concentratie te meten
- HK 1-3
- regeling
- HK1-3: G6P concentratie
- GCK: translocatie regeleiwit uit kern tijdens maaltijden
- enzymes: 4 paraloge hexokinasen
- 3) F6P + ATP -> F1,6BP + ADP
- enzymes: 3 paraloge fosfofructokinasen (PFK)
- PFK-1: F6P -> F1,6BP
- tandem enzym (TE)



- PFK-2: F6P -> F2,6BP
- F2,6BPase: F2,6BP -> F6P
- = PFK-2 + P
- functie F2,6BP
- allosterische activatie van glycolyse via PFK-1
- allosterische inhibitie van gluconeogenese
- flux bepalende stap
- enzymes: 3 paraloge fosfofructokinasen (PFK)
- 10) PEP + ADP -> pyruvaat + ATP
- enzymes: 2 paraloge pyruvaatkinase (PK)
- PKLR @ Lever, RBC
- normaal: actief
- gefosforyleerd: inactief
- insuline: activeer met proteine fosfatase
- glucagon: inactiveer met proteine kinase A
- PKM @ Muscles
- PKLR @ Lever, RBC
- enzymes: 2 paraloge pyruvaatkinase (PK)
- 1) G + ATP -> G6P + ADP
- glucose opname in spieren/vet
- fluxbepalend: GLUT4
- insuline+ -> GLUT4 naar membraan -> glucose opname mogelijk
- klinische relevantie paralogen
- creatinekinase: creatine-P + ADP -> creatine + ATP
- dimeren
- CKBB: brain
- CKMB: heart
- risico hartinfarct
- CKMN: muscle
- dimeren
- gelijkaardig
- AST?
- ALT?
- lactaat dehydrogenase (LDH)
- creatinekinase: creatine-P + ADP -> creatine + ATP
- sucrose in glycolyse

- sucrase: sucrose -> fructose + glucose
- fructose kan enkel in lever verwerkt worden
- ketohexokinase (KHK): F -> F1P
- aldolase B: F1P splitst in twee
- cf. glycolyse stap 4
- pathologie
- fructosemie: aldolase B deficientie
- aangeboren (recessief)
- eerste symptomen bij start fruitpap
- stapeling F1P (heel reactief)
- behandeling: dieet zonder fructose
- aangeboren (recessief)
- fructosurie: geen KHK
- fructose in urine
- non-disease
- fructosemie: aldolase B deficientie
- lactose in glycolyse

- lactase: lactose -> galactose + glucose
- in brush border darmen
- lactose intolerantie: verlies lactase met opgroeien
- lactose wordt dan door bacterien verteerd
- enkel in lever
- galactokinase (GALK1): Ga -> Ga1P
- Ga1P -> G1P a.h.v. UDP-glucose -> UDP-galactose
Krebs cyclus
- input
- pyruvaat -> oxidatieve decarboxylatie -> ACoA
- vetzuren -> beta oxidatie -> ACoA
- input: acyl-CoA
- output: NADH + FADH2 + ACoA
- per 2C
- in mitochondriale matrix
- AZ -> alpha-ketozuren


- anaplerose ("aanvullend")
- levert extra intermediaire producten aan CAC
- kataplerose ("uitputtend")
- intermediaire CAC producten die naar andere processen gaan
- CoA
- ~= pantotheenzuur (vit. B5) + ADP + Pi
- extra Pi op 3' t.o.v. ADP
- pantotheenzuur + 3ATP -> CoA
Oxidatieve forforylering
- ademhalingsketen
- redox
- oxidatie: NADH -> NAD+
- reductie: O2 -> 2H2O
- pomp protonen naar intermembraanruimte
- pH 8 -> 7
- H+ gradient: ADP -> ATP
- complex V
- NADH -> 2e- -> 10 protonen -> 3 ATP (ideaal)
- praktijk: 2.5 ATP
- UCP: uncoupling gradient-ATP
- laten protonen vrij terugstromen
- nut: warmteproductie als er genoeg ATP is
- vooral in bruin vet
- risico: reactieve superoxide anionen (ROS)
- complex IV: voorzichtige omzetting m.b.v. Fe, Cu
- als het toch gebeurt
- SOD1/2:
- defect in SOD1 -> ALS
- catalase:
- antioxidanten: vit E, urinezuur, bilirubine, ...
- SOD1/2:
Conclusie
-
- palmitaat: C16
- respiratoir quotient (RQ)
- = respiratory exchange ratio (RER)
- glucose: 6/6 = 1
- palmitaat: 16/23 = 0.7
- initieel minder geoxideerd
- rendement
- glucose: 30%
- palmitaat: 40%
- calorische waarde (netto kcal/g) = Atwater factor
- proteine: 4
- koolhydraten: 4
- triglyceriden: 9
- calorische behoefte
- 2500 - 3000 kcal / dag
- ~= 8000 kJ
- 100 mol ATP
- 2500 - 3000 kcal / dag
Energieverbuik
- rustmetabolisme (65%)
- thermisch (10%)
- mechanisch (25%)
- kinetische energie
- potentiele energie
- welke organen
- skeletspieren: 30-35%
- lever/darmen: 25%
- hersenen: 20%
- bijna exclusief glucose
- hart: 10%
- nieren: 7%
- rest: <10%
- rendement
- stap 1: voeding -> ATP (50%)
- stap 2: ATP -> effect (50%)
- samen: 25%
- ATP productie (herhaling)
- fosforylering op substraatniveau (glycolyse)
- laag rendement, hoog vermogen (snel)
- hersenen: vooral in glia
- spieren: type 2 (witte) vezels (sprint)
- geen mitochondria
- vet: witte vetcellen = adipocyten
- vooral triglyceride opslag
- oxidatieve fosforylering (CAC)
- hoog rendement, laag vermogen
- hersenen: vooral in neuronen
- spieren: type 1 (rode) vezels (marathon)
- vet: bruine vetcellen
- thermoregulatie (UCP)
- veel mitochondria
- via T4
- fosforylering op substraatniveau (glycolyse)
-

- Cori cyclus (niet besproken)
- spieren: glucose -> pyruvaat -> lactaat
- lever: gluconeogenese: lactaat -> glucose
- Cori cyclus (niet besproken)
5 Homeostase
- hypothalamus
- voedselinname
- temperatuur
- bloeddruk
- pH
Glycemie
- herhaling
- insuline
- beta cellen
- glucagon
- alpha cellen
- insuline
Energievoorraad
- subcutaan vet
- isolatie
- goede energieopslag
- beter dan koolhydraten
- 7x meet ATP/g
- 9 kcal/g i.p.v. 4 kcal/g
- want minder geoxideerd
- hydrofoob -> geen watermantel -> lichter
- beter dan koolhydraten
- te veel -> te traag
- BMI [kg/m2]
- insuline
- storage hormoon
- aanmaak nieuwe vetten
- in lever
- very low density lipoprotein (VLDL)
- lipase: vertering VLDL/triglyceriden (?)
- vetcellen: meer opname glucose + glycolyse
- meer aanmaak triglyceriden in vetcellen
- minder lipolyse
- leptine
- vrijgezet door adipocyten
- verzadigingsgevoel in hypothalamus
- verhoogt energieuitgave
- adrenaline
- lipolyse a.h.v. lipase
- afbraak triglyceriden
- stimulatie glucagonsecretie pancreas
- ondersteun glucagon
- glycogenolyse, gluconeogenese, ketogenese
- lipolyse a.h.v. lipase
Glycogeenmetabolisme
- alpha-D-glucose homopolymeer
- in lever
- voorraad: 100g
- hersenen: 150g/dag nodig
- traag
- perfect om nacht te overbruggen
- regeling ~ [glucagon]/[insuline]
- doel: glycemie buffer
- voorraad: 100g
- in skeletspieren
- 300g
- snel
- doel: enkel voor eigen energievoorziening
- regeling
- verschillend t.o.v. lever
- triggers glycogenolyse
- adrenaline -> ... -> glycogeen fosforylase
- ACh -> meer Ca2+ -> glycogeen fosforylase
- individueel zwakke signalen, versterken elkaar
- aanmaak
- productie centraal glycogenine eiwit uit DNA
- glycogeensynthese
- molecule vergroot
- geactiveerde suikers nodig
- UDP-glucose
- branching enzyme
- glycogenolyse
- als [glucagon]/[insuline] hoog
- molecule verkleint
- enzymen
- glycogeen fosforylase
- debranching enzyme
- methodes
- hydrolyse (10%): output = glucose
- fosforylatie (90%): output = G1P
- voordelen
- geladen, kan niet buiten cel difunderen
- minder ATP nodig voor glycolyse: G1P -> G6P
- voordelen
- reciproke regeling
- glycogeensynthese vs glycogenolyse
- doel: geen futiele cycli
- m.b.v. cAMP-afhankelijke fosforylering
- niet te verwarren met glycolyse vs gluconeogenese m.b.v. TE
- cascade effect
- weinig glucagon -> toch veel glucose
- opruimen a.h.v. alpha-glucosidase (lysosomen)
- pathologie: glycogenose = glycogeen stapeling
- type II = ziekte van Pompe
- in lysosomen in spieren
- drukt op spiervezels -> spierzwakte
- andere types: von Gierke, Cori, Andersen, ...
- type II = ziekte van Pompe
- pathologie: glycogenose = glycogeen stapeling
Gluconeogenese

- in lever
- als glycogeenvoorraad uitgeput (na 1 dag vasten)
- of bij ketogeen dieet (geen koolhydraten)
- of bij diabetes type I
- inputs
- lactaat
- van RBC
- van witte spiervezels
- glucogene AZ (zoals Ala) uit proteinen (spieren)
- glycerol uit triglyceriden (vetweefsel)
- lactaat
- ouput: glucose
- voorbereiding
- lactaat + Ala -> pyruvaat
- glycerol -> ... -> dihydroxy-acetonfosfaat
- glycolyse in omgekeerde richting
- meeste stappen spontaan in twee richtingen, behalve
- 10) pyruvaat -> oxaloacetaat ->[PEPCK] PEP @ mitochondria
- kost ATP + GTP
- 3) F1,6BP -> F6P via F1,6BPase
- 1) G6P -> G @ ER
- futiele cycli vermijden (reciproke regeling)
- via tandemenzyme en F2,6BP (zie hoger)
Ketogenese
- in lever
- ketonen ()
- aceton
- nutteloos
- uitgeademd (fruitgeur)
- acetoacetaat (33%)
- zwak zuur
- meer geoxideerd, minder energierijk
- beta-hydroxybutyraat (66%)
- zwak zuur
- minder geoxideerd, meer energierijk
- aceton
- input
- vetzuren -> beta oxidatie -> ACoA
- glycerol -> ACoA?
- ketogene AZ -> ACoA
- productie

- cf. ketonverbranding

- in mitochondriale matrix van lever m.b.v. HMG-CoA-synthase 2
- cf. mevalonaatweg in cytoplasma van meeste cellen m.b.v. HMG-CoA-synthase 1
- 2 ACoA -> acetoacetyl-CoA
- acetoacetyl-CoA + ACoA -> HMG-CoA
- HMG-CoA -> acetoacetaat + ACoA
- acetoacetaat -> beta-hydroxybutyraat
- verbranding
- via CAC
- 21.5 mol ATP per mol beta-hydroxybutyraat
- beter per gram dan glucose
- brandstof hersenen bij vasten
- i.p.v. 100g glucose/dag
- 35g/dag glucose
- 65g/dag ketonen
- na omschakeling -> minder neoglucogenese nodig -> minder spierafbraak
6.1 Pentosefosfaatweg
- producten
- pentosefosfaten
- ribulose-5P
- ribose-5P
- interessant voor nucleotide synthese
- xylulose-5P
- ACoA
- via typische glycolyse + oxidatieve decarboxylatie van pyruvaat
- nicotinamide adenine dinucleotide phosphate (NADPH)
- != nicotinamide adenine dinucleotide (NADH)
- essentie
-
- NAD+ -> NADH: reductie, NAD+ neem 2 electronen op
- enzym klasse: (oxido)reductases / dehydrogenases
- NADH -> NAD+: oxidatie, NADH geeft 2 electronen af
- NAD+ -> NADH: reductie, NAD+ neem 2 electronen op
-
- e- opnieuw afgeven aan zuurstof
-
- pentosefosfaten
- omweg ("shunt") in glycolyse
- niet: G6P -> F6P
- wel
-
- oxidatie van glucose
- reductie van NADP+ naar NADPH
- fluxcontrole
- -> ribulose-5P
- -> ribose-5P
-
- vier modaliteiten

- A) gebruik geproduceerde NADPH voor herstel oxidatieve schade @ RBC
- 1) molecule geoxideerd door O2
- 2) reduceer molecule door oxidatie van glutathione
- gluthathion: tripeptide Glu-Cys-Gly
- 2 GSH -> GS-SG (zwavelbrug)
- gluthathion: tripeptide Glu-Cys-Gly
- 3) reduceer glutathione door oxidatie NADPH -> NADP+
- 4) reduceer NADP+ door oxidatie glucose
- cirkel: G6P -> pentosefosfaten -> ... -> G6P
- netto kost: 1/6 glucose verbrand
- daarnaast: G6P -> lactaat door anaerobe verbranding
- pathologie: G6PD deficientie
- X-linked, ~recessief
- meest frequente stofwisselingsziekte
- vooral rond evenaar
- bescherming tegen malaria (mug + plasmodium parasiet)
- fragiele RBC
- neonatale icterus (enkel in jongens)
- anemie (enkel in jongens)
- favisme (beide)
- na eten favaboon (met vicine in)
- acute reactie op bepaalde geneesmiddelen (beide)
- hemolytische crisis
- B) synthese vetzuren, cholesterol
- C) omdraaien stappen bij RNA tekort
- GA3P, F6P -> ribose-5P -> RNA
- D) DNA tekort
- G6P -> ribose-5P -> deoxy -> DNA
6.2 Synthese vetzuren en cholesterol
- reductieve biosynthese
- vertrek van ACoA
- m.b.v. NADPH
- gekoppeld aan flux pentosefosfaatweg
Vetzuren
- vooral in lever, vet
- niet bij vasten
- ACoA -> malonyl-CoA ->[NADPH] palmitaat ->[NADPH] ...
- hergebruikt delen CAC

- fase 1a) adresseren

- citraat-pyruvaat shuttle
- probleem: ACoA uit mitochondria krijgen
- oplossing
- ACoA + oxaloacetaat -> citraat -> transporter -> cytoplasma
- citraat -> ACoA + oxaloacetaat
- oxaloacetaat ->...-> pyruvaat + NADPH -> transporter -> mitochondria
- kost ATP
- fase 1b) activatie ACoA

- malonyl-CoA: geactiveerde bouwsteen
- enzym: ACoA carboxylase (ACAC)
- fluxcontrole
- actief/inactief (P)/partieel actief polymeer
- activering: + insuline, - glucagon, adrenaline
- inactivering ~ hoge [AMP]/[ATP]
- polymerisatie ~ hoge [citraat]
- fluxcontrole
- reciproke regeling
- vetzuursynthese vs beta oxidatie
- malonyl-CoA remt ACoA opname via carnitine in mitochondria af
- resultaat: minder beta oxidatie
- fase 2: polymerisatie tot C16
- per iteratie
- input
- 1 malonyl-CoA
- 2 NADPH
- effect: 2 langer
- input
- 1 enzym
- megasynthese
- lopende band
- cf. metabolon
- tot C16 (palmitaat)
- per iteratie
- fase 3: desaturatie en elongatie
- desaturatie
- verzadigd vs onverzadigd
- cis- vs transvetten
- natuurlijk: cis
- trans: toxisch
- niet verder dan 9e C (te tellen vanaf kant)
- rest uit voeding -> essentiele vetzuren
- elongatie
- C16 -> C26
- desaturatie
- lipase
- EC3 enzym: hydrolase
- triglyceride -> glycerol + 3 vetzuren
- soorten
- pancreatisch
- lipoproteine (vertering VLDL in bloed)
- adipocyt TG
- hormoon-sensitive (lipolyse in vetcellen)
Cholesterol
- in lever
- 27 C atomen, 4 ringen
- productie
- uit voeding
- niet noodzakelijk slecht
- de novo synthese via mevalonaatweg @ cytoplasma
-
- cf. synthase 2 in matrix mitochondria voor ketogenese
-
- fluxcontrole
- statines = HMG-CoA reductase remmers
- competitieve inhibitie
- -> daling flux

- mevalonaat -> isopentenyl pyrofosfaat (IPPP) -> ... -> cholesterol
- IPPP = "geactiveerde bouwsteen"
- uit voeding
7 Lipidentransport
- vervoer van lipiden in bloed
- in lipoproteinen
- kern
- cholesterol-esters
- triglyceriden
- membraan (1 laag)
- fosfolipiden
- vrije cholesterol
- apoproteinen
- kern
- in lipoproteinen
- soorten
- chylomicronen
- VLDL: very low density lipoprotein
- triglyceriden + cholesterol
- IDL: intermediate
- triglyceriden
- LDL: low
- "slechte cholesterol"
- cholesterol-esters
- HDL: high
- "goede cholesterol"
- cholesterol-esters
- flow


- 1) chylomicronen: dunne darm -> lymfe -> bloed -> vetweefsel
- 2) lipase: triglyceriden -> cholesterolrijke remnants
- 3) naar lever
- 4) remnants + de novo lipiden -> VLDL
- 2bis) sortering in vetweefsel
- cholesterol -> LDL?
- triglyceriden -> IDL?
- 5) LDL -> spieren, weefsels
- apo bindt op LDL receptor (LDLR) -> endocytose
- 6) productie (lege) HDL in lever
- 7) HDL -> weefsels
- ABCA1 transporter: cholesterol naar HDL
- 8) HDL -> LDL
- cholesterol-ester transfer protein (CETP)
- effect versterkt door transvetten
- cholesterol-ester transfer protein (CETP)
- 9) HDL -> lever
- 10) excretie als galzouten
- lever maakt cholesterol bij tekort in voeding
- meet [vrij cholesterol] in ER
Atherosclerose
- slagaderverkalking
- hartinfarct
- verstopte kransslagader
- herseninfarct = beroerte = stroke
- hartinfarct
- chronische ziekte
- progressief
- verloop
- fase 1
- fatty streaks
- schuimcellen: macrofagen + LDL
- fase 2
- atheroomplaat van cholesterol-esters
- fibrose
- proliferatie gladde spiercellen
- inflammatie
- fase 3
- ruptuur + thrombus
- fase 1
- factoren
- leeftijd
- ouder -> meer LDL, ...
- geslacht -> hormonen
- man > vrouw
- BMI
- lichaamsbeweging
- [HDL]/[LDL]
- roken
- diabetes
- bloeddruk
- voeding
- cis-onverzadigde vetten
- genen
- familiale hypercholesterolemie
- LDL receptor mutatie
- familiale hypercholesterolemie
- leeftijd
8.1 Lipide afgeleiden
- cholesterol-esters
- lipid messengers
- actief over kleine afstanden
- eicosanoiden
- prostaglandinen
- leukotrienen
- resolvine
- steroid hormonen
Vetzuurafgeleiden
- membraan eiwit lipidering
- gemeenschappelijke voorloper: fosfatidaat
- triglyceriden
- glycerolipiden = fosfolipiden

- via geactiveerde bouwsteen: CDP-diacylglycerol
- CDP = cytosine difosfaat
- cf. UDP-glucose bij glycogeensynthese
- voorbeelden
- fosfatidylserine
- fosfatidylethanolamine
- fosfatidylcholine = lecithine
- amfipatisch
- toepassing: surfactans
- dun laagje in alveolen tussen water en lucht
- oppervlaktespanning neemt af
- voorkomt dichtklappen (= atelectase)
- vormt laat tijdens zwangerschap
- probleem bij vroeggeboorte
- respiratory distress syndrome
- behandeling
- preventief
- cortico?steroiden bij moeder
- bevordert longontwikkeling
- continuous positive airway pressure (CPAP)
- surfactant als geneesmiddel toedienen
- preventief
- triglyceriden
- sfingolipiden
- sfingomyeline (o.b.v. choline)
- cerebrosiden (o.b.v. 1 UDP-suikergroep)
- gangliosiden (o.b.v. meerdere UDP-suikergroepen)
- synthese: geen leerstof
- afbraak

- lysosomiale hydrolasen
- sfingolipiden + water -> ceramide + choline + monosachariden
- endocytose + fagocytose -> lysosomen
- pathologieen: lysosomale stapelziekten
- sfingomyeline
- Nieman-Pick
- cerebrosiden
- Gaucher
- Fabry
- gangliosiden
- Tay-Sachs / Sandhof
- sfingomyeline
Cholesterol afgeleiden
- cytochroom P450 systeem (CYP)
- enzym familie
- veel paralogen
- mono-oxygenasen
-
- meer wateroplosbaar door OH
- in ER van o.a. lever
- functies
- detoxificatie
- cholesterol -> galzuren (zie hieronder)
- afbraak geneesmiddelen
- steroid synthese (zie hieronder)
- detoxificatie
- enzym familie
Galzouten
- amfipatisch
- enterohepatische cyclus
- recyclage in dunne darm x20-40
- functie
- vertering vet
- vet -> kleine micellen
- gemakkelijkere werking lipase + opname
- incl. vetoplosbare vitamines (A, D, E, K)
- vet -> kleine micellen
- eliminatie cholesterol
- metabole functies
- vertering vet
- synthese
- cholesterol ->[CYP] galzuren
- conjugatie
- galzuren -> galzouten
- via taurine of glycine
Steroiden
- zie les 3
- bijnier ~
- cortisol
- aldosteron
- DHEA
- geslachts ~
- progesteron
- oestradiol
- testosteron
- synthese: mevalonaatweg (zie boven)
- a.h.v. CYP
Vitamine D
- zie les 11
- half hormoon, half vitamine
8.2 Metabole detoxificatie
- algemeen: hydrofobe stoffen
- moeilijk uitscheidbaar
- probleem bij toxische stoffen
- smaken vaak bitter
- oplossing
- in lever
- fase 1: meer wateroplosbaar maken
- in glad ER (microsomen)
- voorbeeld 1: CYP450 systeem
- polymorfisme
- 10 varianten die elk sneller of trager kunnen werken
- CYP2A6: nicotine en coumarine (anti-stolling geneesmiddel)
- polymorfisme
- voorbeeld 2: hydroxyleren aromatische ring
- voorbeeld 3: oxidatie methyl/amino groep
- voorbeeld 4: de-alkylering
- codeine -> morfine
- fenacetine -> paracetamol
- voorbeeld 5: cholesterol -> galzuren
- uitdagingen
- polymorfismen: onderlinge verschillen in enzymes tussen mensen
- interferenties door lage affiniteit
- induceerbaarheid
- X bindt op receptor = transcriptiefactor
- meer aanmaak relevante CYP
- snellere verwerking X
- meer tolerantie
- cross-tolerantie als zelfde CYP ook stof Y verwerkt
- competitie tussen stoffen
- twee stoffen hebben zelfde CYP nodig voor afbraak
- tragere afbraak van beide
- andere variabelen
- lever, nierfunctie
- leeftijd
- geslacht
- fase 2: conjugeren met polaire (en geladen) stof
- doel: wateroplosbaarheid verhogen (opnieuw?)
- voorbeeld 1: galzuren -> galzouten
- m.b.v. taurine of glycine
- voorbeeld 2: bilirubine + 2 UDP-glucuronzuur -> BR-diglucuronide
- enzym: UGT1A1
- pathologie
- Crigler Najjar: ernstige vorm
- Gilbert syndroom: milde vorm, 10% pop
- pathologie
- enzym: UGT1A1
Ethanol
- fermentatie
- mens: pyruvaat -> lactaat
- gist: pyruvaat -> ethanol

- alcoholverslaving = ethylisme
- enzymen
- ADH
- ALDH
- geneesmiddel: disulfiram = antabuse
- ALDH remmer
- doel: verslaving tegen gaan
- geneesmiddel: disulfiram = antabuse
- polymorfismen
- trage ADH + snelle ALDH
- minder toxisch acetaldehyde
- meer kans op verslaving
- snelle ADH, trage ALDH
- lage tolerantie
- trage ADH + snelle ALDH
- competitie
- methanol vs ethanol
- methanol -> formaldehyde (zeer toxisch)
- methanol vergiftiging -> ethanol infuus
- alcoholische leverziekte (ALD)
- leversteatose = vette lever
- "ethanol perturbs almost all aspects of hepatic lipid metabolism"
- later: levercirrose
- gevolgen leverfalen
- detoxificatie
- dosis geneesmiddelen aanpassen
- suiker metabolisme
- vet metabolisme
- AZ metabolisme
- aanmaak bloed eiwitten (albumine, stolling, IGF-1)
- detoxificatie
- leversteatose = vette lever
- CYP inductie
- o.a. CYP2E1 -> oxidatieve stress
- opbouw tolerantie
- carcinogeen
- keel
- slokdarm
- comorbiditeit: roken
- longkanker
- adviezen
-
18 jaar
- niet als zwanger/borstvoeding
- max 10 eenheden/week
-
Cyanide (geen leerstof)
- in planten
- kauwen ->
- zeer toxisch
- remt complex IV oxydatieve fosforylering
- remt ATP productie
9.1 Aminozuur metabolisme
- voeding: 50-70g/dag
- AZ
- essentieel: uit voeding (9)
- nonpolar (6/9)
- Val
- Leu
- Ile
- Met
- Phe
- Trp
- polar, uncharged (1/6)
- Thr
- polar, charged, basic (2/3)
- Lys
- His
- nonpolar (6/9)
- conditioneel essentieel (3)
- onvoldoende eigen aanmaak
- polar, charged, basic (2/3)
- Arg
- polar, charged, basic (2/3)
- aanmaak uit essentiele AZ
- polar, uncharged (2/6)
- Cys <- Met (beide hebben S)
- ook onvoldoende eigen aanmaak
- Tyr <- Phe
- cf. PKU
- Cys <- Met (beide hebben S)
- polar, uncharged (2/6)
- onvoldoende eigen aanmaak
- niet-essentieel (8)
- synthese uit koolstofbronnen
- Glu
- Asp
- Ala
- Gln
- Gly
- Pro
- Ser
- Asn
- essentieel: uit voeding (9)
- functies
- bouwblokken proteinen
- afgeleiden (zie 9.2)
- brandstof
- geen klassieke voorraad zoals vetten en suikers
- wel afbraak spieren, ...
- synthese
- details geen leerstof
- grotendeels via CAC
- Glu-Gln
- transaminasen
- wissel R van AZ met R' van keton
- reversibel
- enzym ~ vitamine B6 (pyridoxine)
- voorbeelden

- merk op
- pyruvaat-oxaloacetaat vs Ala-Asp
- Asp transaminase (AST = GOT)
- in lever
- Ala transaminase (ALT = GPT)
- in lever
- gevonden in bloed -> stervende hepatocyten
- Tyr transaminase
- ?
- vooral bij PKU door stapling Phe in lever
- fenylpyruvaat -> urine
- gelijkaardig systeem (los van AZ?)
- lactaat dehydrogenase (LDH)
- creatinefosfokinase = creatine kinase (CK)
- herhaling
- hartinfarct <- CKMB
- overzicht
-
- Glu
- Asp
- Ala
- Gln
- Glu
-
- eiwitkwaliteit
- juiste verhouding van essentiele AZ in voeding
- referentie: moedermelk
- 1 AZ tekort legt hele proteine synthese stil
- plantaardige AZ "minderwaardig" t.o.v. dierlijke
- oplossing: complementatie
- voorbeeld: bonen + rijst (Mexicaanse keuken)
- oplossing: complementatie
- wat ontbreekt vaakst
- Trp: niet in mais
- Met: niet in peulen (erwten, bonen)
- Lys: niet in granen
- juiste verhouding van essentiele AZ in voeding
Verwerking stikstokafval
- ammoniak
- en
- lever: ureumcyclus

- heeft Arg nodig
- transport/aanvoer via Gln familie
- meest voorkomende AZ in bloed
- : 0 aminogroepen
- Glu: 1 aminogroep
- Gln: 2 aminogroepen
- ureum: 2 aminogroepen
- werkverdeling hepatocyten
- periportale
- "ruwe werk"
- Gln -> Glu, ureum
- pericentrale
- "fijne werk"
- Glu -> Gln
- periportale
- probleem: Arg uit voeding zou volledig opgebruikt worden in ureumcyclus
- oplossing
- darm: Arg -> ... -> citrulline
- cf. stappen ureum cyclus
- nier: citrulline -> Arg
- darm: Arg -> ... -> citrulline
- oplossing
- pathologie
- oppassen met extra eiwitbelasting
- proteine shakes
- uterus krimp na bevalling
- spier katabolisme
- gevolg: hyperammoniemie
- neurotoxisch
- oedeem door osmose Gln
- encephalopathie
- suf, verward, flapping tremor, coma
- neurotoxisch
- oppassen met extra eiwitbelasting
- bronnen
- AZ -> ureum
- via lever, nieren, urine
- pyrimidine (C, U, T) -> ureum
- via lever, nieren, urine
- purine -> urinezuur
- via nieren, urine
- creatine -> creatinine
- via spieren, nieren, urine
- heem -> bilirubine
- via milt, lever, gal, stoelgang/urine
- stoelgang -> bruin
- urine (bij hoge dosisen) -> geel-bruin
- AZ -> ureum
9.2 Aminozuur afgeleiden
- zie ook
- DNA/RNA basen (zie later)
- melanine
- membraanlipiden
- neurotransmitters
- NO
- schildklierhormoon
- niet-essentiele AZ (veel nodig)
- Gly, Gln, Asp
- DNA/RNA basen
- Ser
- membraanlipiden
- Gly, Gln, Asp
- essentiele AZ (weinig nodig)
- Tyr, Trp
- NT
- schildklierhormoon
- Cys
- leukotrienen
- feomelanine
- Arg
- eiwitsynthese (zoals alle AZ)
- creatine
- polyaminen
- NO
- ureumcyclus
- Tyr, Trp
Ergogene aminen
- creatine
- Gly ->[Arg] ... -> creatine
- in spieren en hersenen
- afbraak
- creatine -> creatinine -> nieren -> urine
- functie
- buffer ATP
- creatine + ATP <=> fosfocreatine + ADP
- buffer ATP
- maat voor nierfunctie in bloedstaal
- carnitine

- synthese
- details geen leerstof
- uit Lys (gemethyleerd residu)
- functie
- acyl "shuttlebus" door binnenste mitochondriaal membraan
- bepaalt flux beta oxidatie en dus ATP synthese @ rode spiervezels
- acyl "shuttlebus" door binnenste mitochondriaal membraan
Heem
- onderdeel van
- hemoglobine in RBC
- cytochromen in ademhalingsketen
- ook CYP450
- synthese


- fase 1
- Gly + succinyl-CoA (uit CAC) ->[ALAS1/2] delta-aminolevulinaat
- fluxbepalend
- fase 2
- 8 delta-aminolevulinaat -> lineaire tetrapyrool
- enzymes: porfyrines
- fase 3
- lineair tetrapyrool -> heem ring met in
- afbraak

- in milt
- gebruik om ring open te breken
-
- koolstofmonoxide!
- enzym: heem-oxygenase (mono-oxygenase)
- biliverdine -> niet-geconjugeerd bilirubine
- reductie: dubbele naar enkele binding
- slecht oplosbaar
- bind aan albumine
- naar lever
- detoxificatie
- niet-geconjugeerd bilirubine + 2 UDP-glucuronzuur -> BR-diglucuronide
- nu wel wateroplosbaar
- niet-geconjugeerd bilirubine + 2 UDP-glucuronzuur -> BR-diglucuronide
- naar galwegen
- geeft groene kleur aan gal
- urine: urobiline (geel-bruin)
- dikke darm: stercobiline (bruine kleur)
- geen bilirubine -> "stopverf"/beige kleur
- pathologie
- lood (Pb) intoxicatie remt heem productie in de drie fases
- gevolg bij kleine kinderen: pica (zin in niet-eetbare dingen)
- cf. pregnancy cravings
- (genoemd naar ekster (Pica pica) die ook alles eet)
- gevolg bij kleine kinderen: pica (zin in niet-eetbare dingen)
- porfyrieen als 1 van de porfyrines defect
- gevolg: geen heem
- geen negatieve feedback
- overproductie + stapeling tussenproducten
- gevolg: geen heem
- icterus
- Hijmans van den Bergh test
- indirect: niet-geconjugeerd bilirubine
- overdreven hemolyse
- of fout in afbraakproces
- direct: geconjugeerd bilirubine
- probleem met galafvoer
- indirect: niet-geconjugeerd bilirubine
- kernicterus bij neonati
- niet-geconjugeerd bilirubine kan door BBB
- symptomen
- psychomotorische achterstand
- strabisme: scheel kijken
- chorea: dansend bewegen
- ataxie: ongecoordineerd bewegen
- apasticiteit
- slechthorend
- oorzaken
- prematuren
- rhesus incompatibiliteit -> hemolyse
- stofwisselingsziekten (Crigler-Najjar)
- oplossing
- oud
- geneesmiddel: barbituraten (slaapmiddel)
- nieuw
- fototherapie: onder blauw licht
- wordt meer wateroplosbaar
- oud
- Hijmans van den Bergh test
- lood (Pb) intoxicatie remt heem productie in de drie fases
Polyaminen
- voorbeelden
- putrescine
- spermidine
- spermine
- synthese
- details niet belangrijk
- uit Arg
- positief geladen
- neutraliseert neg. fosfaatgroepen in DNA backbone tijdens S fase
10.1 Basen en nucleotiden
- naamgeving
- basen
- nucleosides (+ suiker)
- nucleotides (+ P)
- de novo synthese van nucleotiden: (d)[AGUTC]TP
- in bijna alle cellen
- input
- pentose-5-P uit glucose via pentosefosfaatweg
- AZ
- CO2
- Gly, Ser: C1 metabolisme
- Gln, Asp: N donoren
- heel complex
- details niet belangrijk
- start: ribose-5-P -> 5-phosphoribosyl-1-pyrophosphate (PRPP)
- pyrimidines
- eerst base (orotine)
- orotine + PRPP -> UMP -> ...
- purines
- purinosoom
- hypoxanthine (base) + ribose = inosine (nucleoside)
- atoom per atoom op nucleotide(?)
- PRPP + Gln/Asp/Gly -> IMP -> GMP/AMP -> ...
- IMP = inosine monofosfaat (nucleotide)
- dubbele pijlen hangen af van energy charge
- blauwe pijlen: flux bepalend
- cf. ureumcyclus
- daarnaast
- opname uit voeding
- recycleren (salvage pathway)
- afbraak
- pyrimidines (C, U, T) -> ureum
- purines (A, G) -> urinezuur
- afgeleiden
- DNA, RNA
- cAMP, AMP, ADP, ATP
- energy charge
- cGMP
- UDP
- CDP
- NADH, NADPH, FADH2
- CoA
- proteinekinasen (ATP)
- (lokaal werkende hormonen)
- purinerge receptoren
- purine analogen als antimetabolieten
- antiviraal (acyclovir)
- bv. tegen herpes
- bv. tegen reverse transcriptase HIV
- immuno suppressiva (azathioprine; imuran)
- remt proliferatie leukocuten
- secundaire preventie jicht (allopurinol)
- pyrimidinen als antimetabolieten
- immuno suppressiva
- chemotherapie
- treft ook haar, darm, beenmerg, ...
- risico op resistentie door snel muterende kankercellen
10.2 Jicht
- Engels: gout
- symptomen
- podagra: acute ontsteking gewricht MT I-phalanx
- tophus: kristallen in gewrichten
- vooral vingers en tenen
- steriele inflammatie zonder infectie
- warmte, roodheid, pijn, zwelling
- LA: calor, rubor, dolor, tumor
- trekt neutrofielen aan
- produceren cytokines
- warmte, roodheid, pijn, zwelling
- risicofactoren
- leeftijd: oud > jong
- geslacht: man > vrouw
- welvarend (cf. dieet)
- dieet
- veel DNA/RNA in voeding
- orgaanvlees
- schaaldieren
- veel suiker
- stimuleert uraatproductie
- via pentosefosfaatweg (hoe?)
- ~ obesitas
- stimuleert uraatproductie
- veel DNA/RNA in voeding
- alcohol (wijn)
- veel genen met elk klein effect
- bv. transporter iets minder efficient
- -> complexe ziekte (nature + nurture)
- i.p.v. klassieke stofwisselingsziekte
- "metabolige ziekte"
- oorzaak
- probleem bij afbraak purinebasen
- of bij gebrek aan salvaging
- mononatriumuraat (MNU) kristallen uit urinezuur
- urikemie
- oplosbaarheidsgrens ureum in water: 0.5 mmol/l
- boven grens -> neerslag
- probleem bij afbraak purinebasen
- behandeling
- niet steroidaal
- NSAIDs (aspirine, ibuprofen, ...)
- risico: maagzweren
- steroidaal
- cortisone (glucocorticoiden)
- colchicine
- giftige stof uit plant (herfststijloos)
- remt alle sneldelende cellen
- nodige dosis dicht bij LD50
- cf. chemotherapie
- niet steroidaal
- preventie
- dieet
- minder purines (geen schaaldieren, geen orgaanvlees)
- minder snelle suikers
- minder alcohol
- meer bewegen
- geneesmiddelen (laatste optie)
- allopurinol: purine analoog
- irreversibele ("zelfmoord") inhibitie van afbraak
- xanthine ->[XDH] urinezuur
- gevolg: meer salvage
- dieet
- afbraak
- RNA -> nucleotiden -> nucleosiden
- ribose-1-P
- pyrimidines -> ureum (geen probleem)
- purines -> urinezuur
- RNA -> nucleotiden -> nucleosiden
12.1 Diabetes
- onopgemerkt: helft weet niet dat ze ziekte hebben
- definitie: chronische hyperglycemie
- nuchter > 7 mmol/l
- andere testen
- orale glucose toleratietest (OGTT)
- 75g
- na 2u > 11.1 mmol/l
- %HbA1c > 6.5% (zie onder)
- orale glucose toleratietest (OGTT)
Symptomen (korte termijn)
- oorzaken
- weinig insuline
- dus spieren en andere weefsels kunnen moeilijk glucose opnemen
- [insuline]/[glucagon] heel laag
- zoals tijdens vasten
- meer lipolyse, ketogenese, gluconeogenese
- dus nog meer glucose in bloed
- weinig insuline
- glucosurie
- oude Egypte: trekt urine mieren in woestijn aan?
- polyurie + nycturie ('s nachts opstaan om te plassen)
- polydipsie
- failure to thrive bij kinderen
- afbraak spieren om aan energie te geraken
- abnormaal gewicht
- ondergewicht
- overgewicht
- diabetische ketoacidose
- suf, slap, verward, acetongeur
Type 1 (10%)
- absoluut insulinetekort
- vaak jonge mensen
- complexe ziekte, ~10 genen/loci (o.a. HLA regio)
- pancreas deficientie
- autoimmuun
- insulitis
- ontsteking eilandjes van Langerhans (beta cellen)
- later: vernietiging
- insulitis
- pancreatectomy
- autoimmuun
- behandeling
- insuline inspuiten
Type 2 (90%)
- relatief insulinetekort
- vaak oudere mensen
- vrouw > man
- complexe ziekte, ~100 genen/loci
- = insuline resistentie
- oorzaak onduidelijk
- correlatie (kip of ei)
- hypertensie
- overgewicht
- hyperlipidemie
- hyperurecemie
- vervetting lever
- abdominaal, visceraal vet
- "metabool syndroom"
- epigenetica -> risico bij overgewicht moeder tijdens zwangerschap
- behandeling
- 1) levensstijl
- 2) orale geneesmiddelen
- 3) injecties na uitputting betacellen
Diabetes als monogene stofwisselingsziekte (zeldzaam)
- niet complex
- maturity onset diabetes of the young (MODY)
- autosomaal dominant
- probleem met
- transciptiefactoren
- glucokinase
- neonatale diabetes
Complicaties op lange termijn
- over decennia
- oorzaak: niet-enzymatische glycering van eiwitten
- o.a. hemoglobine
- test: %HbA1c > 6.5%
- beeld van voorbije 120 dagen
- zelfde effect bij veel eiwitten
- eerst reversibel
- later irreversibel
- advanced glycation end products (AGE)
- normaal vernietigd in kupffercellen lever (RAGE)
- kan niet alles opruimen bij te hoge glycemie
- o.a. hemoglobine
- macroangipathie (grote bloedvaten)
- hartinfarct
- stroke
- etalagebenen (claudicatio intermittens)
- claudicatio = hinken
- kramp in been door tekort aan bloeddoorstroming
- microangiopathie (kleine bloedvaten)
- retinopathie
- nefropathie
- glomerulosclerose (littekens)
- in extremis: nierdialyse of transplantatie nodig
- neuropathie
- eerste lange zenuwen
- diabetische voet
12.2 Obesitas
- pandemie
- BMI
- beperkingen
- vanaf 18 jaar
- vetverdeling (appel < peer)
- vet vs spieren
- TOFI: thin outside, fat inside
- < 17: te mager
- 20-25: ok
- 25-30: overgewicht
- tot 28: beperkt risico
- 30-40: obees
-
40: morbide obees
- beperkingen
- de ene kcal != andere kcal
- metabole efficientie
- darmflora
- enterotype: individuele verschillen in darmflora
- vroeger: culpabiliseren
- meer sporten
- minder eten
- => bedroevend weinig succes
- verslavingseffect van snelle suikers
- soorten vetcellen
- allemaal: metabolisch actief i.p.v. passief
- wit: opslag
- beige: tussenin
- bruin: thermogenese
- in kou -> meer bruin
- genetische oorzaak
- FTO regio
- T vs C puntmutatie
- energy-using (beige) vs energy-storing (wit) adipose tissue
- FTO regio
- obesogene leefomgeving
- voeding
- ongezond = goedkoop
- beweging
- educatie
- kansen
- voeding
- oplossing
- dieet
- 1/10 succes
- bariatrische heelkunde
- meer succes
- dieet
Overzicht



- suikers
- sucrose
- glucose
- fructose
- F1P
- ... (glycolyse via splitsing a.h.v. aldolase B)
- F1P
- lactose
- galactose
- Ga1P + UDP glucose
- G1P + UDP-galactose
- ... (glycolyse)
- G1P + UDP-galactose
- Ga1P + UDP glucose
- glucose
- galactose
- glucose
- G6P
- F6P
- F1,6BP
- ... (glycolyse)
- fosfo-enolpyruvaat (PEP)
- pyruvaat
- ACoA (aeroob; oxidatieve decarboxylatie)
- ... (CAC)
- lactaat (anaeroob)
- pyruvaat (m.b. Ala en ALT)
- acetaldehyde (anaerobe fermentatie, niet in mens)
- ethanol
- acetaldehyde @ lever
- acetaat
- acetaldehyde @ lever
- ethanol
- oxaloacetaat @ lever (gluconeogenese)
- fosfo-enolpyruvaat (PEP) @ mitochondria via PEPCK
- ... (omgekeerde glycolyse)
- F1,6BP
- F6P
- G6P
- glucose @ ER
- G6P
- F6P
- F1,6BP
- ... (omgekeerde glycolyse)
- fosfo-enolpyruvaat (PEP) @ mitochondria via PEPCK
- ACoA (aeroob; oxidatieve decarboxylatie)
- pyruvaat
- fosfo-enolpyruvaat (PEP)
- ... (glycolyse)
- F1,6BP
- F6P
- G1P
- UDP-glucose
- glycogeen
- G1P (glycogenolyse)
- ... (glycolyse)
- G1P (glycogenolyse)
- glycogeen
- UDP-glucose
- sucrose
- riboflavine (vitamine B2)
- FMN
- FADH2
- AZ
- katabole opdeling
- ketogene AZ (2)
- Leu
- Lys
- omzetting naar ACoA
- glucogene AZ (13)
- Ala
- pyruvaat (via ALT en m.b.v. lactaat)
- Arg, Asn, Asp, Cys, Glu, Gln, Gly, His, Met, Pro, Ser, Val
- Ala
- beide (5)
- Phe, Ile, Thr, Trp, Tyr
- ketogene AZ (2)
- Gly
- delta-aminolevulinaat (m.b.v. succinyl-CoA uit CAC)
- lineaire tetrapyrool m.b.v. porfyrine enzymes
- heem
- lineaire tetrapyrool m.b.v. porfyrine enzymes
- creatine (m.b.v. Arg)
- fosfocreatine
- creatinine
- DNA/RNA basen
- delta-aminolevulinaat (m.b.v. succinyl-CoA uit CAC)
- Met
- Cys
- leukotrienen
- feomelanine
- Cys
-
- Glu
- Asp (a.h.v. oxaloacetaat)
- oxaloacetaat + Glu
- DNA/RNA basen
- Ala (a.h.v. pyruvaat)
- pyruvaat + Glu
- Gln
- DNA/RNA basen
- GABA
- Asp (a.h.v. oxaloacetaat)
- Glu
- Phe
- Tyr
- eumelanine
- feomelanine (m.b.v. Cys)
- DOPA
- dopamine
- noradrenaline
- adrenaline @ bijnier medulla
- normetanefrine (afbraak)
- noradrenaline
- dopamine
- T4 (m.b.v. TG)
- T3
- rT3
- Tyr
- Ser
- choline
- acetylcholine (ACh) m.b.v. A-CoA
- ...
- sfingomyeline
- fosfatidylcholine
- DNA/RNA basen
- choline
- Trp
- 5-hydroxytryptofaan
- serotonine = 5-hydroxytryptamine (5-HT)
- ...
- melatonine @ epifyse
- ...
- serotonine = 5-hydroxytryptamine (5-HT)
- nicotinezuur (vitamine B?, m.b.v.pyridoxine)
- NADH
- NADPH (m.b.v. P uit ATP)
- NADH
- 5-hydroxytryptofaan
- His
- histamine (via decarboxylatie)
- Arg
- NO
- putrescine (diamine)
- spermidine (polyamine)
- spermine (polyamine)
- spermidine (polyamine)
- creatine (m.b.v. Gly)
- fosfocreatine
- creatinine
- Lys
- carnitine
- proteinen
- varia
- thyroid hormone binding globuline (TBG)
- enzymes
- thyreotropine (TSH, glycoproteine)
- thyreotropine-releasing hormone (TRH)
- thyroidperoxidase (TPO)
- titine
- renine
- hormonen
- insuline
- glucagon
- groeihormoon
- angiotensine
- tyroglobuline
- T4 (m.b.v. Tyr)
- DOI1-3 (o.b.v. selenocysteïne)
- LH (glycoproteine)
- FSH (glycoproteine)
- leptine
- neuropeptiden
- VIP
- galanin
- CCK
- neurotensine
- GLP-1
- Substance P
- CRH
- TRH
- Arg-vasopresinne (AVP) = antidiuretic hormone (ADH)
- oxytocine
- somatostatine (SST)
- neuropeptide Y (NPY)
- endorfines
- dynorfine
- enkefaline
- beta-endorfine
- varia
- katabole opdeling
- pantotheenzuur (vit. B5)
- co-enzyme A
- acetyl-CoA
- acetylcholine (m.b.v. choline)
- acetoacetyl-CoA
- HMG-CoA
- acetoacetaat (keton)
- aceton
- beta-hydroxybutyraat
- mevalonaat
- isopentenyl pyrofosfaat (IPPP)
- ...
- cholesterol (mevalonaatweg a.h.v. CYP, ook uit voeding)
- cholesterol-esters (m.b.v. lang vetzuur)
- pregnenolon
- dehydro-epiandrosteron (DHEA) @ zona reticularis
- testosteron
- oestradiol
- testosteron
- progesteron
- aldosteron @ zona glomerulosa
- cortisol @ zona fasciculata
- testosteron
- oestradiol
- dehydro-epiandrosteron (DHEA) @ zona reticularis
- vitamine D3 (cholecalciferol)
- calcitriol
- galzuren
- galzouten
- cholesterol (mevalonaatweg a.h.v. CYP, ook uit voeding)
- ...
- isopentenyl pyrofosfaat (IPPP)
- acetoacetaat (keton)
- HMG-CoA
- malonyl-CoA (via ACAC)
- palmitaat (C16)
- palmitoyl-CoA
- sfingosine (o.b.v. Ser)
- sfingosine-1-P
- ceramide
- sfingomyeline (o.b.v. choline)
- (gluco)cerebroside (o.b.v. 1 UDP-suikergroep)
- ganglioside (o.b.v. meerdere UDP-suikergroepen)
- sfingosine (o.b.v. Ser)
- langere en/of gedesatureerde vetzuren
- arachidonzuur (C20)
- endocannabinoiden
- anandamide
- N-arachidonyl-fosfatidyl-ethanolamine (NAPE)
- fosfatidaat?
- CDP-diacylglycerol
- eicosanoiden
- prostaglandinen
- PGF2a, PGE2
- prostacycline (PGI2)
- thromboxaan (TXA2)
- leukotrienen ("uit membraan vetzuur")
- resolvine
- prostaglandinen
- eicosanoiden
- CDP-diacylglycerol
- endocannabinoiden
- andere vetzuurafgeleiden
- gelipideerde eiwitten
- plasmalogenen
- fosfatidaat (= 2 vetzuren + glycerol)
- diacylglycerol
- triacylglycerol = triglyceriden
- acyl-CoA
- ACoA (beta oxidatie @ mitochondriale matrix)
- glycerol @ lever (gluconeogenese)
- glycerol-3-P
- dihydroxy-acetonfosfaat
- ... (omgekeerde glycolyse)
- F1,6BP
- F6P
- G6P
- glucose
- G6P
- F6P
- F1,6BP
- ... (omgekeerde glycolyse)
- dihydroxy-acetonfosfaat
- glycerol-3-P
- acyl-CoA
- triacylglycerol = triglyceriden
- CDP-diacylglycerol (voorloper glycerolipiden = fosfolipiden)
- fosfatidylinositol (o.b.v. inositol)
- fosfatidylserine
- fosfatidylethanolamine (PE)
- fosfatidylcholine (PC)
- fosfatidylethanolamine (PE)
- diacylglycerol
- arachidonzuur (C20)
- palmitaat (C16)
- acetyl-CoA
- co-enzyme A
Voeding
Energiebalans
- TEE = PAR x BMR + 0.10 thermo
- honger vs verzadiging (satiety)
- energieopname
- ~ fysiologisch
- != goesting vs voldoening (satation)
- ~ psychologisch
- ondervoeding
- cachexia
- wegteren -> verlies aan lean body mass
- sarcopenia
- leeftijdsgebonden spiermassaverlies
- stunting: onomkeerbare groeiachterstand
- wasting: omkeerbaar
- soorten starvation
- marasmus: globaal cal tekort
- kwashiorkor: enkel tekort proteine
- Ghanees: "ziekte die oudere kind krijgt bij nieuwe zwangerschap"
- omdat moedermelk dan stopt
- ascites: abdominale vochtopstapeling
- oedeem (vochtophoping)
- cachexia
- voedingsaanbevelingen
- drie basisconcepten
- deficientie
- bv. vitamine tekort
- toxiciteit
- ~ dosering
- halfwaardetijd
- region of homeostasis
- biobeschikbaarheid
- geabsorbeerde fractie
- extrinsieke factoren
- verteerbaarheid
- oplosbaarheid
- factoren die absorptie verhinderen/bevorderen
- intrinsieke factoren
- leeftijd, gezondheid, geslacht, genen, ...
- deficientie
- aanbevolen hoeveelheid = gem. behoefte + 2SD (Pc95)
- aanvaardbare bovengrens
- o.b.v.
- NOAEL = no observed adverse effect level
- LOAEL = lowest observed adverse effect level
- o.b.v.
- andere aanbevelingen
- estimated energy requirements (EER) in kcal
- reference intake (RI) voor macronutrienten
- factoriele methodes
- vertrek van gemiddeld persoon
- delta van speciale behoeften
- verlies via urine, stoelgang, moedermelk, zweet, ...
- drie basisconcepten
Koolhydraten
- glycemische index (GI)
- percentage
- response 50g X / response 50g wit brood
- laag
- trage opname
- geen glucose pieken
- geen insuline pieken
- bv.: appel
- hoog
- bv.: frisdrank
- hangt af van veel factoren
- lager niet altijd gezonder
- percentage
- glycemic load (GL)
- KH per portie x GI
- hoog: >= 20g
- laag: <= 10g
- inname target: 55% totale energiebehoefte
- te weinig: afbraak eiwitten in spieren
- te veel: te weinig eiwitten, vet
- toegevoegdde suikers < 10%
- vezels: > 30g / dag
- meer stoelgang, minder constipatie, sneller
- minder cholesterol
- minder cardiovasculaire problemen, obesitas, kanker, infecties, inflam.
- gezondheid
- geen invloed op diabetes type 2
- geen invloed op gedrag ("sugar rush")
- complexe KH: geen invloed op hart-vaat
- wel bij KH rijke voeding die cholesterol verhoogt
- onduidelijke link met overgewicht
- wel: frisdrank = slecht
- door fructose?
- excessieve fructose -> de novo lipogenesis
- wel: frisdrank = slecht
- alternatieve zoetstoffen
- zoetheid: 200-700
- weinig kcal
- beter voor tanden
- geen invloed op eetlust
- carcinogeen?
- voorbeelden
- aspartaam
- saccharine
- acesulfaam K
- sucralose
- neotaam
- biotica
- probiotica
- levende voedingscomponent
- directe gezondheidsvoordeel
- prebiotica
- niet-levende voedingscomponent
- gezondheidsvoordeel via modulatie darmflora
- synbiotica = pre + post
- postbiotica
- niet levende byproducts van probiotische organismen
- probiotica
Lipiden
- opname
- geemulsifieerd door galzouten
- lipase: tri -> monoglyceriden + 2 vrije vetzuren
- vorming micellen
- diffusie door membraan
- in epitheel: opnieuw triglyceriden
- vorming chylomicronen -> galwegen
- uitzondering: MCFA wel redelijk wateroplosbaar -> bloedbaan
- opname - langere versie
- Lipiden komen in de maag terecht: inwerking van maaglipase
- Maaglipase gaat vetzuren op positie 3 afsplitsen van korte en middellange keten
- Ontstaan van 1,2-diglyceriden en vrije vetzuren
- Vorming van ruwe vetemulsies door invloed van galzouten in dunne darm
- Galzouten zorgen dat er kleine vetpartikels gaan ontstaan
- Zo wordt het eenvoudiger voor het pancreaslipase om te gaan inwerken
- Ter vorming van monoglyceriden en vrije vetzuren
- Dit wordt opgenomen in micellen (gevormd door galzouten en andere verteringproducten)
- Micellen aan darmoppervlak gaan via een passief absorptiemechanisme naar de enterocyt
- Hier gaat men terug triglyceriden vormen vanuit monoglyceriden en vrije vetzuren
- Triglyceriden komen samen met de lipoproteïnen ter vorming van chylomicronen
- Deze gaan aan de basale zijde van de enterocyt worden vrijgezet
- Transport via lymfevatensysteem, want ze kunnen niet opgenomen via de bloedbaan
- De korte keten en middel-lange keten vrije vetzuren kunnen wel rechtstreeks opgenomen in de bloedbaan"
- cholesterol pathway
- endogeen vs exogeen?
- functie
- energieopslag
- isolatie en bescherming
- structureel
- metabool
- cholesterol productie
- regeling
- vorming eicosanoiden
- in voeding
- energie
- 30-35% totale energiebehoefte
- verzadigd: liefst < 10%
- poly-onverzadigd: 5-10%
- mono-onverzadigd: rest (> 10%)
- trans: zo weinig mogelijk
- cholesterol
- ondergrens: 0
- bovengrens
- vroeger: 300mg/dag (1 ei)
- nu: geen beperking
- 30-35% totale energiebehoefte
- smaak
- verzadiging
- drager vetoplosbare vitaminen
- essentiele vetzuren
- energie
- gezondheid
- kokosolie
- verzadigd
- maar...
- toch beter dan boter
- lengte
- boter: C16
- kokos: C12
- goed voor HDL cholesterol
- cardiovasculaire aandoeningen (CVD)
- geen formele link verzadigde vetzuren
- toch beter verzadigd vermijden
- vervangen door poly onverzadigd
- kanker
- hooguit suggestieve bevindingen tot nu toe
- long, borst, colorectale kanker
- kokosolie
Eiwitten
- vertering
- 40% endogeen
- HCl (denaturatie) in maag
- peptidasen
- endopeptidase
- pepsinen
- in maag
- resultaat: polypeptides
- (chymo)trypsine
- in pancreas sap
- resultaat: kleine polypeptides
- elastase
- in pancreas sap
- pepsinen
- exopeptidase
- carboxypeptidase A/B aan C terminus
- in pancreas sap
- aminopeptidase aan N terminus
- in dunne darm mucosa
- dipeptidase en tripeptidase
- in enterocyten
- H+/peptide symport (actief) van di/tripeptides (80%)
- ter vergelijking: Na+/AZ symport (actief) van aparte AZ (20%)
- H+/peptide symport (actief) van di/tripeptides (80%)
- in enterocyten
- resultaat: AZ
- carboxypeptidase A/B aan C terminus
- endopeptidase
- AZ via facilitated transport (passief) naar bloedbaan
- verteerbaarheid
- 90+% van inname proteinen
- rest: door microflora in colon of weg via stoelgang
- koken -> beter
- toasten -> slechter
- kwaliteit
- essentieel
- vooral Lys, Met, Trp, (Thr) problematisch
- dierlijke bronnen + soja dekt alles
- vegetarisch dieet -> opletten
- complementatie (gevarieerde voeding)
- mais + peul (o.a. erwt): ok
- complementatie (gevarieerde voeding)
- vooral Lys, Met, Trp, (Thr) problematisch
- niet-essentieel
- essentieel
- biologische beschikbaarheid
- vertering
- percentage
- : restfractie
- : inname
- : faecalien
-
- : faecalien bij eiwitvrij dieet
- realistischer
- protein digestibility corrected amino acid score (PDCAAS)
- t.o.v. WHO referentiepatroon
- x = min(x, 1)
- hoog: ei, koemelk, rund, soja
- laag: tarwe
- kijkt naar meest limiterend essentieel aminozuur en houdt ook nog rekening met de verteerbaarheid van het proteïne.
- digestible indispensible amino acid score (DIAAS)
- nieuwer
- werkt ook voor gemengde voeding
- gebruikt in wetgeving
- idem als PDCAAS, maar maakt gebruik van data over verteerbaarheid en biobeschikbaarheid van de individuele aminozuren en niet van de proteïne in zijn geheel.
- vertering
- rol
- lichaam: 18% proteines
- vooral collageen, spieren (myosine, actine), hemoglobine
- quasi geen reserve
- paar 100g in lever
- in klassieke zin zoals bij KH, vetten
- wel spieren
- stikstofbalans
- moeilijk te meten
- over verschillende dagen met stabiele inname
- I: inname
- E: excretie
- U: urine
- F: faeces
- S: sweat
- M: menstruation
- lichaam: 18% proteines
- gezondheid
- RDA: 0.8g/kg/dag
- 70 kg -> 56g/dag
- correctiefactor
- lacto-ovo-vegetarisch: x 1.2
- veganistisch: x 1.3
- 10-15% energie
- in BE: 16%
- meer dan 25%: risico op nierproblemen
- goed voor gewichtscontrole
- verzadigingsgevoel
- thermogeen effect
- geen vermindering fast free mass (FFM) <-> andere dieten
- spieropbouw
- botgezondheid
- sarcopenie
- verlies aan spiermasa, kracht, functie
- bij veroudering
- door daling eiwit synthese + absorptie
- RDA: 0.8g/kg/dag
Macro nutrienten
- macromineralen
- 50+ mg/kg aanwezig
- Ca
- P
- K
- Na
- Cl
- S
- Mg
Micro nutrienten
- micromineralen = spoorelementen
- Fe
- Zn
- Cu
- Mo
- Se
- I
- Co
- F
- Cr
- Si
- As
- Ni
- Mn
- ...
- vetoplospare vitamines (KADE)
- A
- retinol 1
- retinol 2
- retinal
- uit carotenen
- rhodopsinecyclus
- retinal + opsine = rhodopsine
- lichtinval: cis -> all-trans -> instabiel -> splitsing
- D
- D2 = ergocalciferol
- D3 = cholecalciferol
- cholesterol in huid ->[UV] D3 -> calcitriol
- calcium huishouding
- stapelt -> moeilijk te excreteren
- E = tocoferol
- antioxidant
- K = naftochinonderivaten
- K1 (phylloquinone)
- K2 (menaquinone)
- K3
- K4
- A
- wateroplosbare vitamines
- nummering niet universeel
- B1 = thiamine
- B2 = riboflavine
- FMN
- FAD
- B3 = niacine = nicotinezuur
- NAD
- NADP
- Trp ->[B6] B3
- B5 = pantotheenzuur
- B5 + 3ATP -> CoA
- B6 = pyridoxine
- B8 = biotine
- B11 = foliumzuur
- tetrahydrofolaat (THF) in C1 metabolisme
- B12 = cyanocobalamine
- C = L-ascorbinezuur
- D-glucuronzuur -> vit C
- scheurbuik

